Get the free Sole Source - Procurement and Support Services
Show details
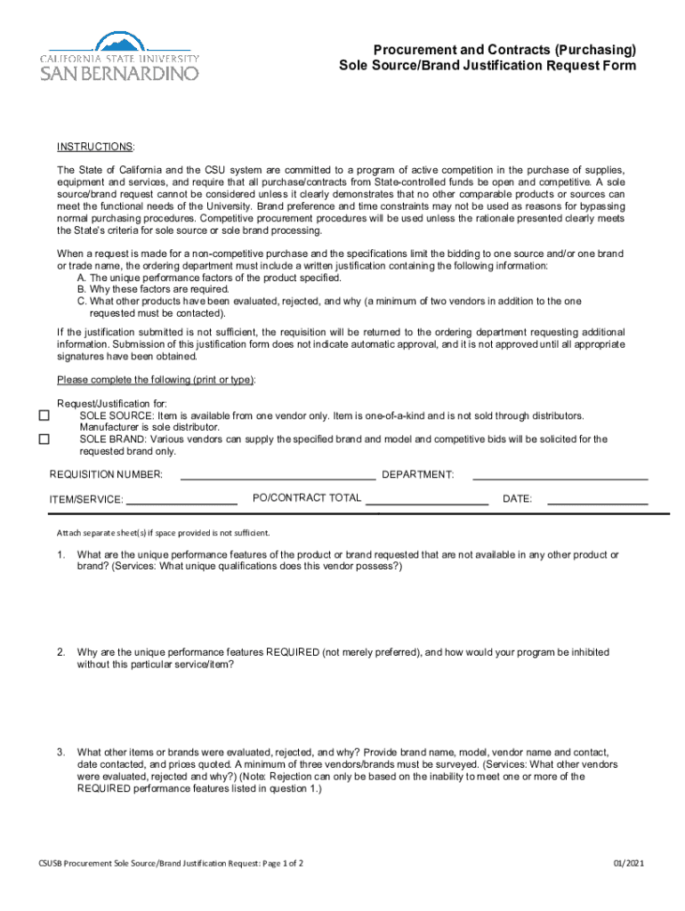
Procurement and Contracts (Purchasing) Sole Source/Brand Justification Request FormINSTRUCTIONS: The State of California and the CSU system are committed to a program of active competition in the
We are not affiliated with any brand or entity on this form
Get, Create, Make and Sign sole source - procurement
Edit your sole source - procurement form online
Type text, complete fillable fields, insert images, highlight or blackout data for discretion, add comments, and more.
Add your legally-binding signature
Draw or type your signature, upload a signature image, or capture it with your digital camera.
Share your form instantly
Email, fax, or share your sole source - procurement form via URL. You can also download, print, or export forms to your preferred cloud storage service.
Editing sole source - procurement online
Use the instructions below to start using our professional PDF editor:
1
Log into your account. In case you're new, it's time to start your free trial.
2
Upload a document. Select Add New on your Dashboard and transfer a file into the system in one of the following ways: by uploading it from your device or importing from the cloud, web, or internal mail. Then, click Start editing.
3
Edit sole source - procurement. Rearrange and rotate pages, add new and changed texts, add new objects, and use other useful tools. When you're done, click Done. You can use the Documents tab to merge, split, lock, or unlock your files.
4
Get your file. Select the name of your file in the docs list and choose your preferred exporting method. You can download it as a PDF, save it in another format, send it by email, or transfer it to the cloud.
It's easier to work with documents with pdfFiller than you could have ever thought. Sign up for a free account to view.
Uncompromising security for your PDF editing and eSignature needs
Your private information is safe with pdfFiller. We employ end-to-end encryption, secure cloud storage, and advanced access control to protect your documents and maintain regulatory compliance.
How to fill out sole source - procurement
How to fill out sole source - procurement
01
Identify the need for sole source procurement by evaluating the project's requirements.
02
Confirm that the desired product or service is only available from a single source.
03
Document the reasons for selecting sole source procurement, including unique qualifications or capabilities of the vendor.
04
Complete a sole source justification form if required by your organization.
05
Obtain necessary approvals from management or procurement authorities.
06
Prepare and issue a purchase order or contract to the selected vendor.
07
Maintain records of the decision-making process and the justification for future reference.
Who needs sole source - procurement?
01
Government agencies requiring specific goods or services that are only available from one supplier.
02
Organizations in niche markets where proprietary technology or specialized expertise is essential.
03
Companies needing to expedite the procurement process for urgent and specialized requirements.
04
Non-profits or research institutions seeking unique products or services for specific projects.
Fill
form
: Try Risk Free
For pdfFiller’s FAQs
Below is a list of the most common customer questions. If you can’t find an answer to your question, please don’t hesitate to reach out to us.
How do I make changes in sole source - procurement?
With pdfFiller, it's easy to make changes. Open your sole source - procurement in the editor, which is very easy to use and understand. When you go there, you'll be able to black out and change text, write and erase, add images, draw lines, arrows, and more. You can also add sticky notes and text boxes.
How do I make edits in sole source - procurement without leaving Chrome?
sole source - procurement can be edited, filled out, and signed with the pdfFiller Google Chrome Extension. You can open the editor right from a Google search page with just one click. Fillable documents can be done on any web-connected device without leaving Chrome.
How do I complete sole source - procurement on an Android device?
On Android, use the pdfFiller mobile app to finish your sole source - procurement. Adding, editing, deleting text, signing, annotating, and more are all available with the app. All you need is a smartphone and internet.
What is sole source - procurement?
Sole source procurement refers to a method of acquiring goods or services from a single supplier, without conducting a competitive bidding process, often due to the unique qualifications or availability of the supplier.
Who is required to file sole source - procurement?
Entities or organizations that are utilizing sole source procurement must typically file documentation detailing the rationale for why a competitive bidding process was not used. This may include state or local government departments, educational institutions, or other public agencies.
How to fill out sole source - procurement?
To fill out a sole source procurement form, one must provide detailed justification for the sole source selection including the unique capabilities of the vendor, the specific goods or services required, and any steps taken to verify the absence of alternative suppliers.
What is the purpose of sole source - procurement?
The purpose of sole source procurement is to streamline the purchasing process when only one supplier can meet the specific needs of a project or to meet urgent requirements where time does not allow for a competitive bidding process.
What information must be reported on sole source - procurement?
Information that must typically be reported includes the name of the vendor, the amount of the procurement, justification for sole source selection, and any supporting documentation that validates the need for this procurement approach.
Fill out your sole source - procurement online with pdfFiller!
pdfFiller is an end-to-end solution for managing, creating, and editing documents and forms in the cloud. Save time and hassle by preparing your tax forms online.
Sole Source - Procurement is not the form you're looking for?Search for another form here.
Relevant keywords
Related Forms
If you believe that this page should be taken down, please follow our DMCA take down process
here
.
This form may include fields for payment information. Data entered in these fields is not covered by PCI DSS compliance.