Get the free Ordinance No. 24-10
Show details
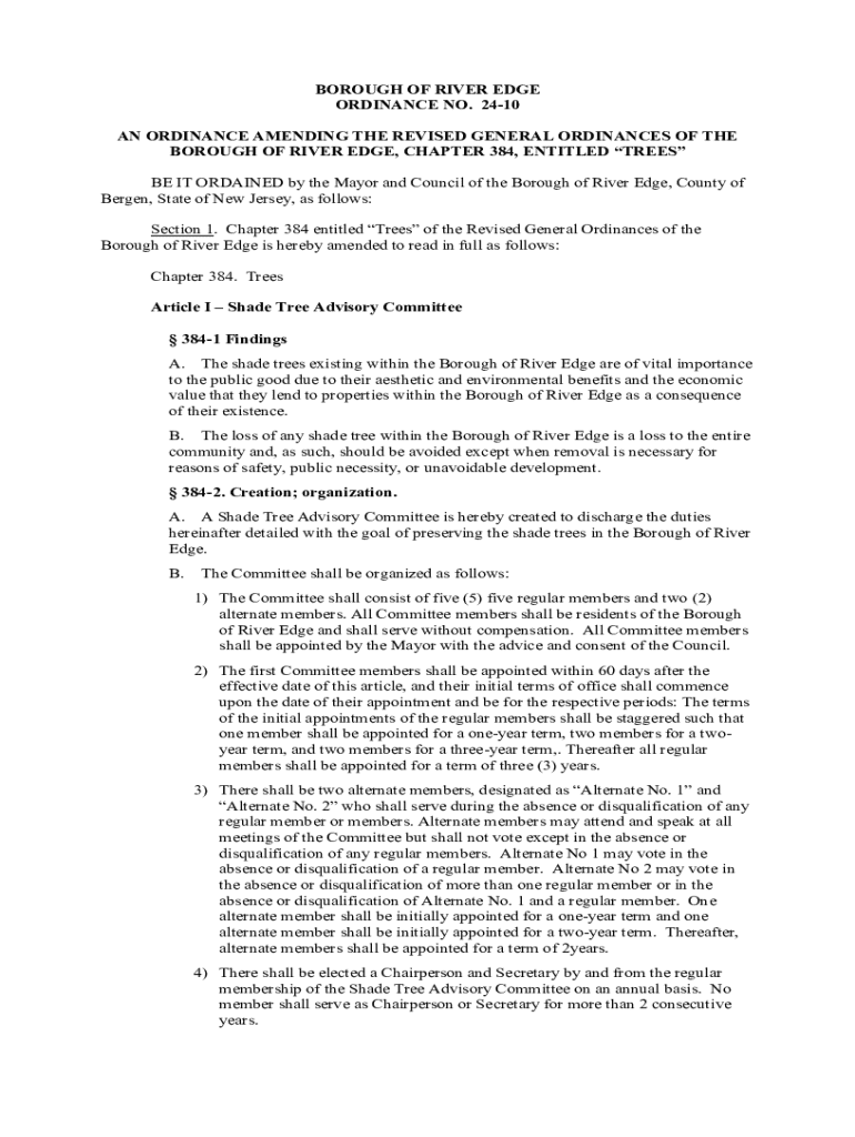
This ordinance establishes regulations for the preservation, maintenance, and management of shade trees within the Borough of River Edge, New Jersey. It creates a Shade Tree Advisory Committee to oversee tree-related activities, outlines the duties of the committee, and sets forth procedures for tree planting, removal, and replacement. The ordinance aims to protect the community\'s aesthetic and environmental assets while ensuring safety and public health related to urban forestry.
We are not affiliated with any brand or entity on this form
Get, Create, Make and Sign ordinance no 24-10
Edit your ordinance no 24-10 form online
Type text, complete fillable fields, insert images, highlight or blackout data for discretion, add comments, and more.
Add your legally-binding signature
Draw or type your signature, upload a signature image, or capture it with your digital camera.
Share your form instantly
Email, fax, or share your ordinance no 24-10 form via URL. You can also download, print, or export forms to your preferred cloud storage service.
Editing ordinance no 24-10 online
Use the instructions below to start using our professional PDF editor:
1
Log in to your account. Click Start Free Trial and sign up a profile if you don't have one.
2
Simply add a document. Select Add New from your Dashboard and import a file into the system by uploading it from your device or importing it via the cloud, online, or internal mail. Then click Begin editing.
3
Edit ordinance no 24-10. Rearrange and rotate pages, add new and changed texts, add new objects, and use other useful tools. When you're done, click Done. You can use the Documents tab to merge, split, lock, or unlock your files.
4
Save your file. Select it in the list of your records. Then, move the cursor to the right toolbar and choose one of the available exporting methods: save it in multiple formats, download it as a PDF, send it by email, or store it in the cloud.
Dealing with documents is always simple with pdfFiller.
Uncompromising security for your PDF editing and eSignature needs
Your private information is safe with pdfFiller. We employ end-to-end encryption, secure cloud storage, and advanced access control to protect your documents and maintain regulatory compliance.
How to fill out ordinance no 24-10
How to fill out ordinance no 24-10
01
Obtain a copy of ordinance no 24-10 from the appropriate government office or website.
02
Read through the ordinance thoroughly to understand its requirements and implications.
03
Gather all necessary documents and information required for the application or compliance process.
04
Fill out the ordinance form completely, ensuring all sections are addressed.
05
Double-check the filled out information for accuracy and completeness.
06
Submit the completed ordinance form to the designated authority by the deadline specified.
Who needs ordinance no 24-10?
01
Individuals or entities affected by the regulations set forth in ordinance no 24-10.
02
Businesses that operate within the jurisdiction covered by the ordinance.
03
Local residents interested in compliance with municipal regulations outlined in the ordinance.
Fill
form
: Try Risk Free
For pdfFiller’s FAQs
Below is a list of the most common customer questions. If you can’t find an answer to your question, please don’t hesitate to reach out to us.
How do I edit ordinance no 24-10 online?
pdfFiller not only allows you to edit the content of your files but fully rearrange them by changing the number and sequence of pages. Upload your ordinance no 24-10 to the editor and make any required adjustments in a couple of clicks. The editor enables you to blackout, type, and erase text in PDFs, add images, sticky notes and text boxes, and much more.
How do I edit ordinance no 24-10 straight from my smartphone?
The easiest way to edit documents on a mobile device is using pdfFiller’s mobile-native apps for iOS and Android. You can download those from the Apple Store and Google Play, respectively. You can learn more about the apps here. Install and log in to the application to start editing ordinance no 24-10.
How do I fill out ordinance no 24-10 on an Android device?
Complete ordinance no 24-10 and other documents on your Android device with the pdfFiller app. The software allows you to modify information, eSign, annotate, and share files. You may view your papers from anywhere with an internet connection.
What is ordinance no 24-10?
Ordinance No 24-10 refers to a specific legislative measure or regulation enacted by a governing body, details of which can vary by location and context.
Who is required to file ordinance no 24-10?
Individuals or entities subject to the requirements of Ordinance No 24-10 as defined by the ordinance itself are required to file it.
How to fill out ordinance no 24-10?
Filling out Ordinance No 24-10 involves following the instructions provided in the ordinance document, which typically includes providing required information and statements as specified.
What is the purpose of ordinance no 24-10?
The purpose of Ordinance No 24-10 is to establish regulations and guidelines that manage specific activities or processes within the jurisdiction of the governing body.
What information must be reported on ordinance no 24-10?
The information required to be reported typically includes specific data points defined by the ordinance, such as identifying details of the filer, relevant activities, and compliance metrics.
Fill out your ordinance no 24-10 online with pdfFiller!
pdfFiller is an end-to-end solution for managing, creating, and editing documents and forms in the cloud. Save time and hassle by preparing your tax forms online.
Ordinance No 24-10 is not the form you're looking for?Search for another form here.
Relevant keywords
Related Forms
If you believe that this page should be taken down, please follow our DMCA take down process
here
.
This form may include fields for payment information. Data entered in these fields is not covered by PCI DSS compliance.