
Get the free Clean Water Facility - Town of Montague, MA
Show details
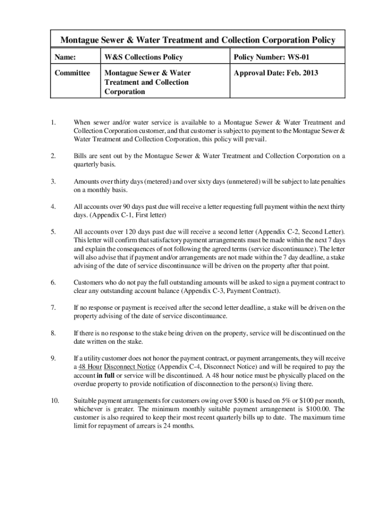
Montague Sewer & Water Treatment and Collection Corporation Policy Name:W&S Collections PolicyPolicy Number: WS01CommitteeMontague Sewer & Water Treatment and Collection CorporationApproval Date:
We are not affiliated with any brand or entity on this form
Get, Create, Make and Sign clean water facility

Edit your clean water facility form online
Type text, complete fillable fields, insert images, highlight or blackout data for discretion, add comments, and more.

Add your legally-binding signature
Draw or type your signature, upload a signature image, or capture it with your digital camera.

Share your form instantly
Email, fax, or share your clean water facility form via URL. You can also download, print, or export forms to your preferred cloud storage service.
Editing clean water facility online
Here are the steps you need to follow to get started with our professional PDF editor:
1
Create an account. Begin by choosing Start Free Trial and, if you are a new user, establish a profile.
2
Upload a document. Select Add New on your Dashboard and transfer a file into the system in one of the following ways: by uploading it from your device or importing from the cloud, web, or internal mail. Then, click Start editing.
3
Edit clean water facility. Rearrange and rotate pages, add new and changed texts, add new objects, and use other useful tools. When you're done, click Done. You can use the Documents tab to merge, split, lock, or unlock your files.
4
Get your file. Select your file from the documents list and pick your export method. You may save it as a PDF, email it, or upload it to the cloud.
It's easier to work with documents with pdfFiller than you can have ever thought. You can sign up for an account to see for yourself.
Uncompromising security for your PDF editing and eSignature needs
Your private information is safe with pdfFiller. We employ end-to-end encryption, secure cloud storage, and advanced access control to protect your documents and maintain regulatory compliance.
Fill
form
: Try Risk Free
For pdfFiller’s FAQs
Below is a list of the most common customer questions. If you can’t find an answer to your question, please don’t hesitate to reach out to us.
How can I edit clean water facility from Google Drive?
By integrating pdfFiller with Google Docs, you can streamline your document workflows and produce fillable forms that can be stored directly in Google Drive. Using the connection, you will be able to create, change, and eSign documents, including clean water facility, all without having to leave Google Drive. Add pdfFiller's features to Google Drive and you'll be able to handle your documents more effectively from any device with an internet connection.
How do I execute clean water facility online?
pdfFiller makes it easy to finish and sign clean water facility online. It lets you make changes to original PDF content, highlight, black out, erase, and write text anywhere on a page, legally eSign your form, and more, all from one place. Create a free account and use the web to keep track of professional documents.
How can I edit clean water facility on a smartphone?
The easiest way to edit documents on a mobile device is using pdfFiller’s mobile-native apps for iOS and Android. You can download those from the Apple Store and Google Play, respectively. You can learn more about the apps here. Install and log in to the application to start editing clean water facility.
What is clean water facility?
A clean water facility refers to a treatment plant or system designed to process and purify wastewater to ensure it meets environmental safety standards before being released into natural water bodies.
Who is required to file clean water facility?
Operators of municipal and industrial wastewater treatment facilities are typically required to file for a clean water facility permit, as mandated by local, state, and federal regulations.
How to fill out clean water facility?
To fill out a clean water facility application, you generally need to provide details about the facility's design and operations, including flow rates, types of wastewater processed, compliance plans, and any necessary certifications.
What is the purpose of clean water facility?
The purpose of a clean water facility is to remove contaminants from wastewater, protect public health, enhance water quality, and comply with environmental regulations.
What information must be reported on clean water facility?
Information that must be reported typically includes facility location, wastewater sources, treatment processes, monitoring and testing data, and compliance with discharge limits.
Fill out your clean water facility online with pdfFiller!
pdfFiller is an end-to-end solution for managing, creating, and editing documents and forms in the cloud. Save time and hassle by preparing your tax forms online.

Clean Water Facility is not the form you're looking for?Search for another form here.
Relevant keywords
Related Forms
If you believe that this page should be taken down, please follow our DMCA take down process
here
.
This form may include fields for payment information. Data entered in these fields is not covered by PCI DSS compliance.