Form preview

Get the free Annual Perance Review template

Get Form
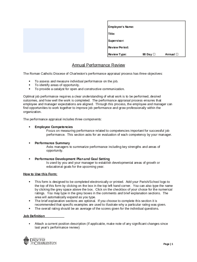
This document outlines the performance appraisal process for employees of the Roman Catholic Diocese of Charleston, detailing objectives such as assessing individual performance, identifying areas of opportunity, and fostering communication. The appraisal includes components such as Employee Competencies, Performance Summary, and Performance Development Plan, promoting a structured evaluation to enhance job performance and professional growth.
We are not affiliated with any brand or entity on this form

Get, Create, Make and Sign annual perance review template

Edit
Edit your annual perance review template form online
Type text, complete fillable fields, insert images, highlight or blackout data for discretion, add comments, and more.
Add
Add your legally-binding signature
Draw or type your signature, upload a signature image, or capture it with your digital camera.
Share
Share your form instantly
Email, fax, or share your annual perance review template form via URL. You can also download, print, or export forms to your preferred cloud storage service.

How to edit annual perance review template online

9.5
Ease of Setup
pdfFiller User Ratings on G2
9.0
Ease of Use
pdfFiller User Ratings on G2
Follow the steps below to benefit from a competent PDF editor:
1
Register the account. Begin by clicking Start Free Trial and create a profile if you are a new user.
2
Upload a document. Select Add New on your Dashboard and transfer a file into the system in one of the following ways: by uploading it from your device or importing from the cloud, web, or internal mail. Then, click Start editing.
3
Edit annual perance review template. Rearrange and rotate pages, insert new and alter existing texts, add new objects, and take advantage of other helpful tools. Click Done to apply changes and return to your Dashboard. Go to the Documents tab to access merging, splitting, locking, or unlocking functions.
4
Save your file. Select it from your list of records. Then, move your cursor to the right toolbar and choose one of the exporting options. You can save it in multiple formats, download it as a PDF, send it by email, or store it in the cloud, among other things.
With pdfFiller, it's always easy to work with documents.

Uncompromising security for your PDF editing and eSignature needs

Your private information is safe with pdfFiller. We employ end-to-end encryption, secure cloud storage, and advanced access control to protect your documents and maintain regulatory compliance.
GDPR
AICPA SOC 2
PCI
HIPAA
CCPA
FDA

How to fill out annual perance review template

Illustration

How to fill out annual performance review

01
Gather relevant documentation: Collect any previous performance reviews, job descriptions, and goal-setting documents.
02
Review your goals: Reflect on the objectives set at the beginning of the review period and assess your progress.
03
Self-assess: Evaluate your performance honestly, highlighting achievements, challenges, and areas for improvement.
04
Provide examples: Use specific examples to support your self-assessment and illustrate your contributions.
05
Set future goals: Outline new objectives for the upcoming review period that align with team and company goals.
06
Seek feedback: Consult with colleagues or supervisors for additional insights on your performance.
07
Complete the review form: Fill out the performance review form using the information gathered in previous steps.
08
Submit on time: Ensure that you submit your completed review to the appropriate party by the deadline.

Who needs annual performance review?

01
Employees in most organizations require an annual performance review to assess their progress and set future goals.
02
Managers and supervisors need to conduct reviews for their team members to provide guidance and feedback.
03
Human resources departments require performance reviews to support promotions, raises, and development plans.

What is Annual Perance Review Form?

The Annual Perance Review is a writable document needed to be submitted to the relevant address in order to provide specific info. It needs to be filled-out and signed, which is possible manually, or with the help of a certain software e. g. PDFfiller. It helps to fill out any PDF or Word document directly from your browser (no software requred), customize it according to your requirements and put a legally-binding electronic signature. Right away after completion, the user can send the Annual Perance Review to the relevant receiver, or multiple recipients via email or fax. The editable template is printable too due to PDFfiller feature and options presented for printing out adjustment. In both digital and physical appearance, your form will have got organized and professional look. You may also turn it into a template to use later, there's no need to create a new document from scratch. All that needed is to edit the ready document.

Instructions for the Annual Perance Review form

Before start filling out Annual Perance Review MS Word form, remember to have prepared enough of information required. It's a very important part, as far as some errors may trigger unpleasant consequences beginning from re-submission of the whole entire word form and filling out with missing deadlines and you might be charged a penalty fee. You need to be pretty observative when writing down figures. At a glimpse, it might seem to be uncomplicated. Yet, it is easy to make a mistake. Some people use such lifehack as saving all data in another file or a record book and then put this into documents' samples. In either case, come up with all efforts and provide valid and correct information in Annual Perance Review word form, and check it twice while filling out all fields. If you find any mistakes later, you can easily make some more corrections when working with PDFfiller application without blowing deadlines.

How should you fill out the Annual Perance Review template

In order to start filling out the form Annual Perance Review, you'll need a editable template. When using PDFfiller for filling out and submitting, you will get it in several ways:

  • Find the Annual Perance Review form in PDFfiller’s catalogue.
  • Upload the available template from your device in Word or PDF format.
  • Create the document to meet your specific needs in PDF creator tool adding all necessary fields via editor.

Whatever option you choose, you'll have all editing tools for your use. The difference is that the template from the catalogue contains the required fillable fields, you need to add them on your own in the rest 2 options. Yet, this procedure is quite easy and makes your form really convenient to fill out. These fillable fields can be easily placed on the pages, as well as removed. There are many types of these fields depending on their functions, whether you need to type in text, date, or place checkmarks. There is also a signature field if you want the writable document to be signed by others. You are able to put your own signature with the help of the signing feature. Once you're done, all you have to do is press Done and proceed to the submission of the form.

Fill form : Try Risk Free
Users Most Likely To Recommend - Summer 2025
Grid Leader in Small-Business - Summer 2025
High Performer - Summer 2025
Regional Leader - Summer 2025
Easiest To Do Business With - Summer 2025
Best Meets Requirements- Summer 2025
Rate the form
4.7
Satisfied
60 Votes

For pdfFiller’s FAQs

Below is a list of the most common customer questions. If you can’t find an answer to your question, please don’t hesitate to reach out to us.

pdfFiller has made it easy to fill out and sign annual perance review template. You can use the solution to change and move PDF content, add fields that can be filled in, and sign the document electronically. Start a free trial of pdfFiller, the best tool for editing and filling in documents.
With pdfFiller, you may not only alter the content but also rearrange the pages. Upload your annual perance review template and modify it with a few clicks. The editor lets you add photos, sticky notes, text boxes, and more to PDFs.
Yes. You can use pdfFiller to sign documents and use all of the features of the PDF editor in one place if you add this solution to Chrome. In order to use the extension, you can draw or write an electronic signature. You can also upload a picture of your handwritten signature. There is no need to worry about how long it takes to sign your annual perance review template.
An annual performance review is a systematic evaluation of an employee's job performance and contribution to the organization, typically conducted once a year.
Typically, all employees within an organization, especially those under regular evaluations, are required to participate in the annual performance review.
To fill out an annual performance review, employees should reflect on their accomplishments, set goals for the upcoming year, and provide feedback on their job responsibilities and performance metrics.
The purpose of an annual performance review is to assess employee performance, provide constructive feedback, identify areas for improvement, and establish goals for future performance.
Typically, information such as employee achievements, strengths and weaknesses, goal attainment, job responsibilities, and future objectives must be reported on the annual performance review.
Fill out your annual perance review template online with pdfFiller!

pdfFiller is an end-to-end solution for managing, creating, and editing documents and forms in the cloud. Save time and hassle by preparing your tax forms online.

Get started now
Form preview
If you believe that this page should be taken down, please follow our DMCA take down process here .
This form may include fields for payment information. Data entered in these fields is not covered by PCI DSS compliance.