
Get the free Contract for Electric Service Connection
Show details
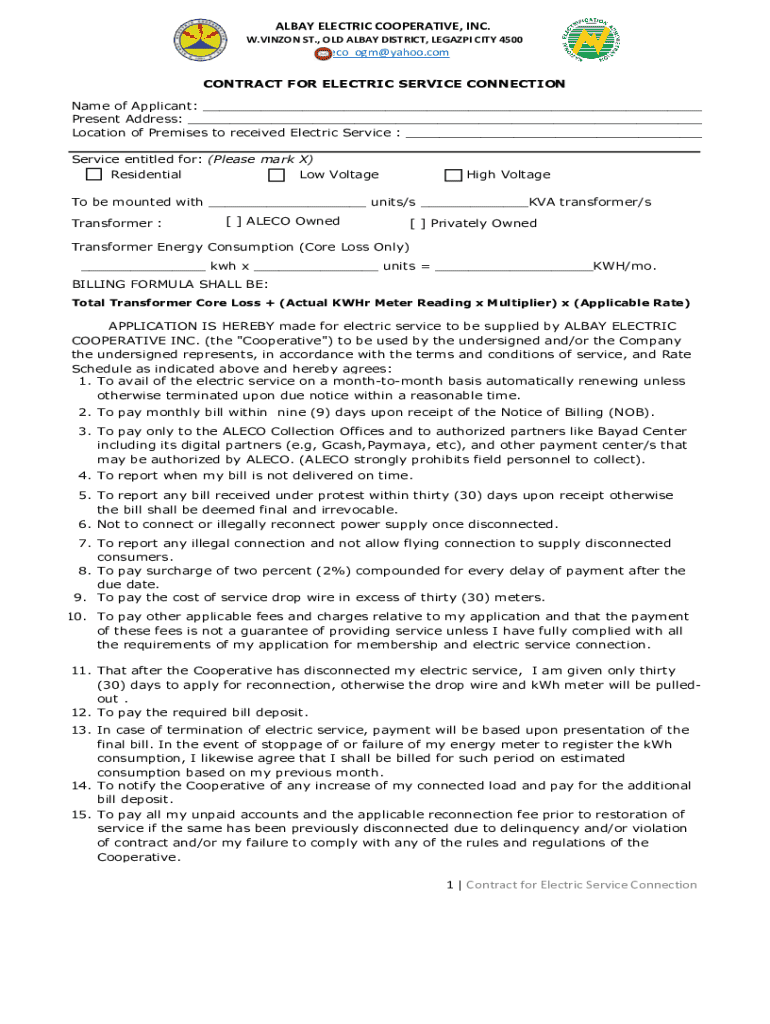
This document serves as a contract between the applicant and Albay Electric Cooperative, Inc. for the provision of electric service. It outlines the terms and conditions regarding the application, billing, payment, and responsibilities of both parties related to the electric service connection.
We are not affiliated with any brand or entity on this form
Get, Create, Make and Sign contract for electric service

Edit your contract for electric service form online
Type text, complete fillable fields, insert images, highlight or blackout data for discretion, add comments, and more.

Add your legally-binding signature
Draw or type your signature, upload a signature image, or capture it with your digital camera.

Share your form instantly
Email, fax, or share your contract for electric service form via URL. You can also download, print, or export forms to your preferred cloud storage service.
Editing contract for electric service online
Follow the guidelines below to use a professional PDF editor:
1
Register the account. Begin by clicking Start Free Trial and create a profile if you are a new user.
2
Upload a document. Select Add New on your Dashboard and transfer a file into the system in one of the following ways: by uploading it from your device or importing from the cloud, web, or internal mail. Then, click Start editing.
3
Edit contract for electric service. Rearrange and rotate pages, add and edit text, and use additional tools. To save changes and return to your Dashboard, click Done. The Documents tab allows you to merge, divide, lock, or unlock files.
4
Save your file. Select it in the list of your records. Then, move the cursor to the right toolbar and choose one of the available exporting methods: save it in multiple formats, download it as a PDF, send it by email, or store it in the cloud.
pdfFiller makes working with documents easier than you could ever imagine. Register for an account and see for yourself!
Uncompromising security for your PDF editing and eSignature needs
Your private information is safe with pdfFiller. We employ end-to-end encryption, secure cloud storage, and advanced access control to protect your documents and maintain regulatory compliance.
How to fill out contract for electric service

How to fill out contract for electric service
01
Obtain the electric service contract form from your utility provider's website or office.
02
Read the contract thoroughly to understand the terms and conditions.
03
Fill in your personal details including name, address, and contact information.
04
Specify the type of service you require (residential or commercial).
05
Indicate the desired start date for the service.
06
Provide any necessary identification or account numbers as required by the provider.
07
Review the payment options and select your preferred method (e.g., credit card, bank transfer).
08
Sign and date the contract at the bottom to confirm your agreement.
09
Submit the completed contract to your electricity provider either online or in person.
Who needs contract for electric service?
01
Anyone who is setting up a new electric service at a residence or business.
02
New homeowners who are moving into a property and need a utility service.
03
Renters who are establishing electric service in a rental property.
04
Business owners who are opening a new business location and need electric service.
Fill
form
: Try Risk Free
For pdfFiller’s FAQs
Below is a list of the most common customer questions. If you can’t find an answer to your question, please don’t hesitate to reach out to us.
Where do I find contract for electric service?
It’s easy with pdfFiller, a comprehensive online solution for professional document management. Access our extensive library of online forms (over 25M fillable forms are available) and locate the contract for electric service in a matter of seconds. Open it right away and start customizing it using advanced editing features.
How do I execute contract for electric service online?
Easy online contract for electric service completion using pdfFiller. Also, it allows you to legally eSign your form and change original PDF material. Create a free account and manage documents online.
How do I complete contract for electric service on an Android device?
Use the pdfFiller Android app to finish your contract for electric service and other documents on your Android phone. The app has all the features you need to manage your documents, like editing content, eSigning, annotating, sharing files, and more. At any time, as long as there is an internet connection.
What is contract for electric service?
A contract for electric service is a legal agreement between a utility company and a customer, outlining the terms and conditions under which electricity will be supplied to the customer.
Who is required to file contract for electric service?
Typically, residential and commercial customers who wish to receive electric service from a utility provider are required to file a contract for electric service.
How to fill out contract for electric service?
To fill out the contract for electric service, the customer must provide personal information, select the desired service plan, and agree to the terms and conditions outlined in the contract.
What is the purpose of contract for electric service?
The purpose of the contract for electric service is to clearly define the rights and responsibilities of both the utility provider and the customer, ensuring both parties understand their obligations regarding service delivery and payment.
What information must be reported on contract for electric service?
The contract for electric service must include customer information, service address, account number, service plan details, payment terms, and any applicable fees or regulations.
Fill out your contract for electric service online with pdfFiller!
pdfFiller is an end-to-end solution for managing, creating, and editing documents and forms in the cloud. Save time and hassle by preparing your tax forms online.

Contract For Electric Service is not the form you're looking for?Search for another form here.
Relevant keywords
Related Forms
If you believe that this page should be taken down, please follow our DMCA take down process
here
.
This form may include fields for payment information. Data entered in these fields is not covered by PCI DSS compliance.