
Get the free DISCLOSURE STATEMENT: SELLER'S - LandRadar.com
Show details
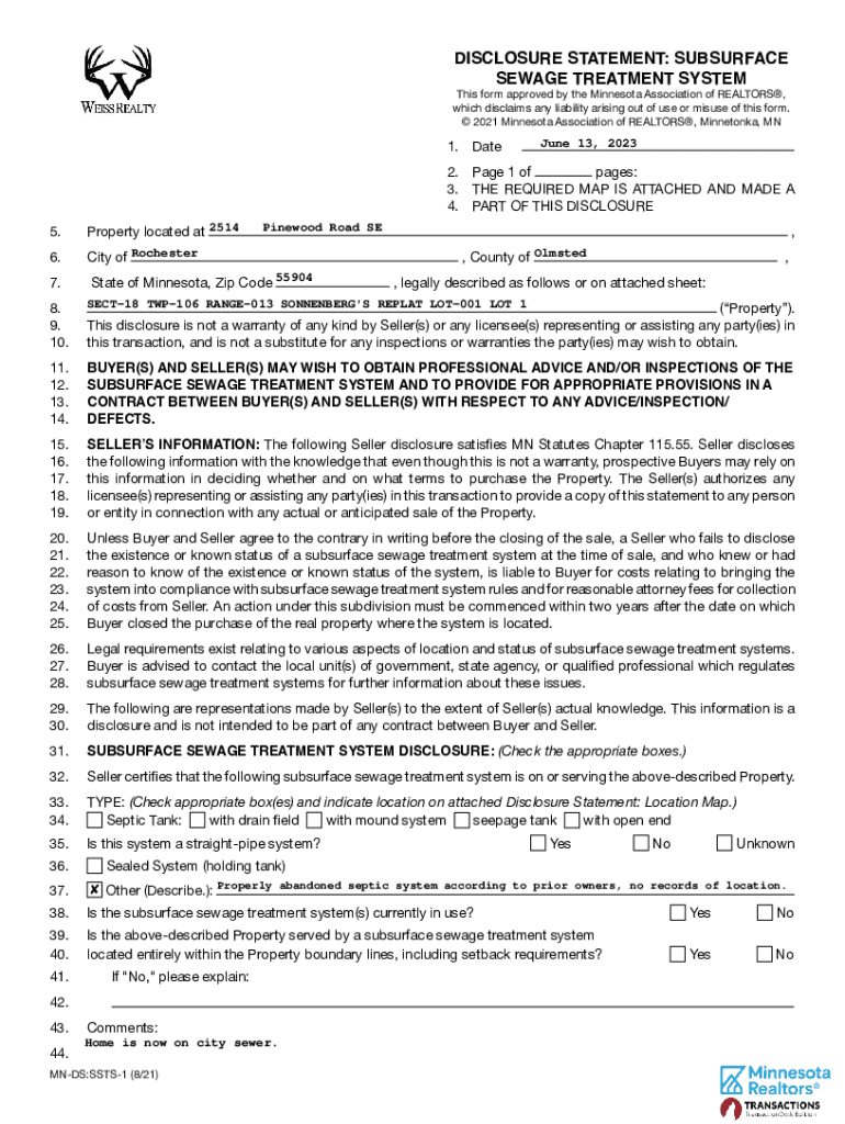
DISCLOSURE STATEMENT: SUBSURFACE SEWAGE TREATMENT SYSTEM This form approved by the Minnesota Association of REALTORS, which disclaims any liability arising out of use or misuse of this form. 2021
We are not affiliated with any brand or entity on this form
Get, Create, Make and Sign disclosure statement sellers

Edit your disclosure statement sellers form online
Type text, complete fillable fields, insert images, highlight or blackout data for discretion, add comments, and more.

Add your legally-binding signature
Draw or type your signature, upload a signature image, or capture it with your digital camera.

Share your form instantly
Email, fax, or share your disclosure statement sellers form via URL. You can also download, print, or export forms to your preferred cloud storage service.
Editing disclosure statement sellers online
To use the services of a skilled PDF editor, follow these steps below:
1
Register the account. Begin by clicking Start Free Trial and create a profile if you are a new user.
2
Upload a file. Select Add New on your Dashboard and upload a file from your device or import it from the cloud, online, or internal mail. Then click Edit.
3
Edit disclosure statement sellers. Add and replace text, insert new objects, rearrange pages, add watermarks and page numbers, and more. Click Done when you are finished editing and go to the Documents tab to merge, split, lock or unlock the file.
4
Get your file. Select your file from the documents list and pick your export method. You may save it as a PDF, email it, or upload it to the cloud.
Dealing with documents is simple using pdfFiller. Now is the time to try it!
Uncompromising security for your PDF editing and eSignature needs
Your private information is safe with pdfFiller. We employ end-to-end encryption, secure cloud storage, and advanced access control to protect your documents and maintain regulatory compliance.
How to fill out disclosure statement sellers

How to fill out disclosure statement sellers
01
Read the disclosure statement form carefully to understand the requirements.
02
Gather necessary information about the property, including any known defects or issues.
03
Complete each section of the disclosure statement, providing accurate details.
04
Be transparent about any past repairs or renovations made to the property.
05
Sign and date the disclosure statement at the bottom.
06
Provide the completed disclosure statement to potential buyers along with the property listing.
Who needs disclosure statement sellers?
01
Sellers of residential real estate are required to provide a disclosure statement to potential buyers.
02
Real estate agents may need a disclosure statement to facilitate the sale of the property.
03
Buyers seeking to understand the condition of the property they are interested in may need access to the disclosure statement.
Fill
form
: Try Risk Free
For pdfFiller’s FAQs
Below is a list of the most common customer questions. If you can’t find an answer to your question, please don’t hesitate to reach out to us.
How do I complete disclosure statement sellers online?
Filling out and eSigning disclosure statement sellers is now simple. The solution allows you to change and reorganize PDF text, add fillable fields, and eSign the document. Start a free trial of pdfFiller, the best document editing solution.
Can I create an eSignature for the disclosure statement sellers in Gmail?
Create your eSignature using pdfFiller and then eSign your disclosure statement sellers immediately from your email with pdfFiller's Gmail add-on. To keep your signatures and signed papers, you must create an account.
How can I edit disclosure statement sellers on a smartphone?
The pdfFiller apps for iOS and Android smartphones are available in the Apple Store and Google Play Store. You may also get the program at https://edit-pdf-ios-android.pdffiller.com/. Open the web app, sign in, and start editing disclosure statement sellers.
What is disclosure statement sellers?
A disclosure statement for sellers is a legal document that provides potential buyers with essential information about the property being sold, ensuring transparency regarding its condition and history.
Who is required to file disclosure statement sellers?
Typically, sellers of residential real estate are required to file a disclosure statement to inform potential buyers about known defects and significant issues related to the property.
How to fill out disclosure statement sellers?
To fill out a disclosure statement, sellers should provide detailed and accurate information about the property's condition, including any known defects, repairs, and any issues related to the property's systems and structures.
What is the purpose of disclosure statement sellers?
The purpose of a disclosure statement for sellers is to protect both buyers and sellers by disclosing relevant information about the property, thus reducing the risk of legal disputes in the future.
What information must be reported on disclosure statement sellers?
Sellers must report information regarding the property's physical condition, including any past or present issues such as water damage, plumbing problems, structural defects, and legal disputes.
Fill out your disclosure statement sellers online with pdfFiller!
pdfFiller is an end-to-end solution for managing, creating, and editing documents and forms in the cloud. Save time and hassle by preparing your tax forms online.

Disclosure Statement Sellers is not the form you're looking for?Search for another form here.
Relevant keywords
Related Forms
If you believe that this page should be taken down, please follow our DMCA take down process
here
.
This form may include fields for payment information. Data entered in these fields is not covered by PCI DSS compliance.