
Get the free Iorc Documentation Submission
Show details
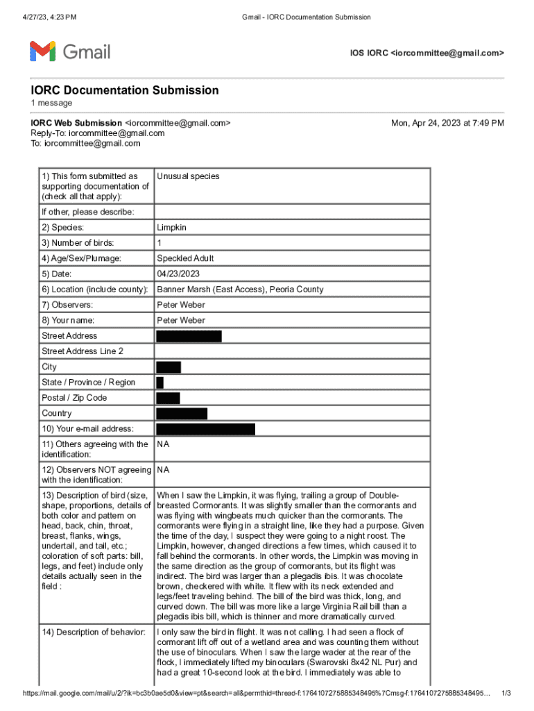
This document is a submission to the IORC (Illinois Ornithological Records Committee) detailing the observation of a Limpkin in Banner Marsh, Peoria County. It includes information on the bird\'s identification, behavior, and the conditions under which it was observed, emphasizing the uniqueness of this sighting as a county first record.
We are not affiliated with any brand or entity on this form
Get, Create, Make and Sign iorc documentation submission

Edit your iorc documentation submission form online
Type text, complete fillable fields, insert images, highlight or blackout data for discretion, add comments, and more.

Add your legally-binding signature
Draw or type your signature, upload a signature image, or capture it with your digital camera.

Share your form instantly
Email, fax, or share your iorc documentation submission form via URL. You can also download, print, or export forms to your preferred cloud storage service.
How to edit iorc documentation submission online
Follow the guidelines below to benefit from a competent PDF editor:
1
Log in. Click Start Free Trial and create a profile if necessary.
2
Prepare a file. Use the Add New button. Then upload your file to the system from your device, importing it from internal mail, the cloud, or by adding its URL.
3
Edit iorc documentation submission. Rearrange and rotate pages, add new and changed texts, add new objects, and use other useful tools. When you're done, click Done. You can use the Documents tab to merge, split, lock, or unlock your files.
4
Get your file. Select your file from the documents list and pick your export method. You may save it as a PDF, email it, or upload it to the cloud.
It's easier to work with documents with pdfFiller than you can have believed. Sign up for a free account to view.
Uncompromising security for your PDF editing and eSignature needs
Your private information is safe with pdfFiller. We employ end-to-end encryption, secure cloud storage, and advanced access control to protect your documents and maintain regulatory compliance.
How to fill out iorc documentation submission

How to fill out iorc documentation submission
01
Obtain the iorc documentation form from the official website or designated authority.
02
Review the guidelines provided for the submission to understand the requirements.
03
Fill out the form with accurate information, ensuring all required fields are completed.
04
Attach any necessary supporting documents as specified in the guidelines.
05
Double-check the completed form for any errors or omissions.
06
Submit the form either electronically or via mail, as mentioned in the guidelines.
07
Keep a copy of the submitted documentation for your records.
Who needs iorc documentation submission?
01
Individuals or organizations involved in research or projects that require oversight.
02
Researchers seeking funding or support that mandates iorc documentation.
03
Compliance officers ensuring that regulations are followed within their jurisdiction.
Fill
form
: Try Risk Free
For pdfFiller’s FAQs
Below is a list of the most common customer questions. If you can’t find an answer to your question, please don’t hesitate to reach out to us.
Can I create an electronic signature for the iorc documentation submission in Chrome?
Yes. With pdfFiller for Chrome, you can eSign documents and utilize the PDF editor all in one spot. Create a legally enforceable eSignature by sketching, typing, or uploading a handwritten signature image. You may eSign your iorc documentation submission in seconds.
How do I edit iorc documentation submission straight from my smartphone?
The easiest way to edit documents on a mobile device is using pdfFiller’s mobile-native apps for iOS and Android. You can download those from the Apple Store and Google Play, respectively. You can learn more about the apps here. Install and log in to the application to start editing iorc documentation submission.
How can I fill out iorc documentation submission on an iOS device?
Install the pdfFiller app on your iOS device to fill out papers. If you have a subscription to the service, create an account or log in to an existing one. After completing the registration process, upload your iorc documentation submission. You may now use pdfFiller's advanced features, such as adding fillable fields and eSigning documents, and accessing them from any device, wherever you are.
What is iorc documentation submission?
IORC documentation submission refers to the required filing of reports and information by organizations to comply with regulatory standards set by the authorities overseeing International Operations and Reporting Compliance.
Who is required to file iorc documentation submission?
Organizations engaged in international operations or those meeting specific criteria set by regulatory agencies are required to file IORC documentation submissions.
How to fill out iorc documentation submission?
IORC documentation submission can be filled out by gathering necessary information related to international operations, ensuring accuracy, and completing the designated forms as per the guidelines provided by the regulating authority.
What is the purpose of iorc documentation submission?
The purpose of IORC documentation submission is to ensure compliance with international regulations, provide transparency in operations, and facilitate the monitoring of organizations by regulatory bodies.
What information must be reported on iorc documentation submission?
The information required includes details about international operations, financial data, compliance with local and international regulations, and any other relevant data specified by the regulatory authority.
Fill out your iorc documentation submission online with pdfFiller!
pdfFiller is an end-to-end solution for managing, creating, and editing documents and forms in the cloud. Save time and hassle by preparing your tax forms online.

Iorc Documentation Submission is not the form you're looking for?Search for another form here.
Relevant keywords
Related Forms
If you believe that this page should be taken down, please follow our DMCA take down process
here
.
This form may include fields for payment information. Data entered in these fields is not covered by PCI DSS compliance.