
Get the free Oregon Sublease Agreement
Show details
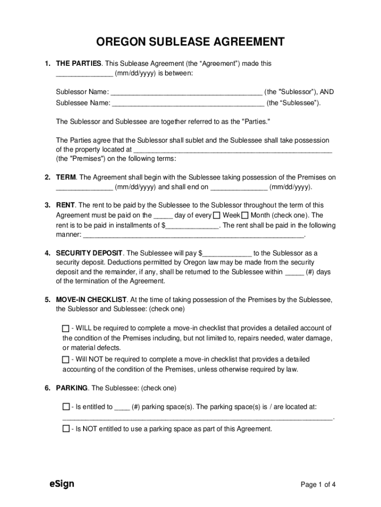
This document is a legally binding sublease agreement between a sublessor and a sublessee pertaining to a rental property in Oregon. It outlines the terms of the sublease, including rent payment, security deposit, utilities, and responsibility for the property\'s condition, alongside clauses addressing move-in procedures, landlord consent, and dispute resolution.
We are not affiliated with any brand or entity on this form
Get, Create, Make and Sign oregon sublease agreement

Edit your oregon sublease agreement form online
Type text, complete fillable fields, insert images, highlight or blackout data for discretion, add comments, and more.

Add your legally-binding signature
Draw or type your signature, upload a signature image, or capture it with your digital camera.

Share your form instantly
Email, fax, or share your oregon sublease agreement form via URL. You can also download, print, or export forms to your preferred cloud storage service.
Editing oregon sublease agreement online
Follow the guidelines below to benefit from a competent PDF editor:
1
Create an account. Begin by choosing Start Free Trial and, if you are a new user, establish a profile.
2
Upload a file. Select Add New on your Dashboard and upload a file from your device or import it from the cloud, online, or internal mail. Then click Edit.
3
Edit oregon sublease agreement. Rearrange and rotate pages, insert new and alter existing texts, add new objects, and take advantage of other helpful tools. Click Done to apply changes and return to your Dashboard. Go to the Documents tab to access merging, splitting, locking, or unlocking functions.
4
Save your file. Select it from your records list. Then, click the right toolbar and select one of the various exporting options: save in numerous formats, download as PDF, email, or cloud.
It's easier to work with documents with pdfFiller than you could have ever thought. Sign up for a free account to view.
Uncompromising security for your PDF editing and eSignature needs
Your private information is safe with pdfFiller. We employ end-to-end encryption, secure cloud storage, and advanced access control to protect your documents and maintain regulatory compliance.
How to fill out oregon sublease agreement

How to fill out oregon sublease agreement
01
Obtain a copy of the Oregon sublease agreement form.
02
Fill in the names of the original tenant (sublessor) and the subtenant.
03
Provide the address of the rental property being subleased.
04
Specify the duration of the sublease, including start and end dates.
05
Detail the rent amount and due dates, along with payment methods.
06
Include any security deposit terms and conditions.
07
Outline rules regarding utilities, maintenance, and subtenant obligations.
08
Ensure both parties sign and date the agreement.
Who needs oregon sublease agreement?
01
Anyone looking to rent out a portion of their rental property in Oregon while retaining their lease.
02
Tenants needing temporary housing while they are away.
03
Landlords or property managers who require a written sublease agreement for legal compliance.
Fill
form
: Try Risk Free
For pdfFiller’s FAQs
Below is a list of the most common customer questions. If you can’t find an answer to your question, please don’t hesitate to reach out to us.
How do I modify my oregon sublease agreement in Gmail?
pdfFiller’s add-on for Gmail enables you to create, edit, fill out and eSign your oregon sublease agreement and any other documents you receive right in your inbox. Visit Google Workspace Marketplace and install pdfFiller for Gmail. Get rid of time-consuming steps and manage your documents and eSignatures effortlessly.
Can I sign the oregon sublease agreement electronically in Chrome?
Yes. You can use pdfFiller to sign documents and use all of the features of the PDF editor in one place if you add this solution to Chrome. In order to use the extension, you can draw or write an electronic signature. You can also upload a picture of your handwritten signature. There is no need to worry about how long it takes to sign your oregon sublease agreement.
How can I fill out oregon sublease agreement on an iOS device?
Install the pdfFiller iOS app. Log in or create an account to access the solution's editing features. Open your oregon sublease agreement by uploading it from your device or online storage. After filling in all relevant fields and eSigning if required, you may save or distribute the document.
What is oregon sublease agreement?
An Oregon sublease agreement is a legal document that allows a tenant (the sublessor) to rent out their leased premises to another tenant (the sublessee) while still remaining responsible to the original landlord under the primary lease.
Who is required to file oregon sublease agreement?
Typically, the original tenant (sublessor) is required to provide a sublease agreement if they wish to rent out their leased property to another person.
How to fill out oregon sublease agreement?
To fill out an Oregon sublease agreement, include the names of the sublessor and sublessee, property address, lease term, rental amount, and any specific terms or conditions, and ensure both parties sign the document.
What is the purpose of oregon sublease agreement?
The purpose of an Oregon sublease agreement is to establish the terms under which the sublessee can occupy and use the rental property while ensuring that the sublessor remains compliant with their original lease obligations.
What information must be reported on oregon sublease agreement?
An Oregon sublease agreement must include the names of the parties involved, property description, lease duration, rental amount, and any specific rules or conditions agreed upon by both the sublessor and sublessee.
Fill out your oregon sublease agreement online with pdfFiller!
pdfFiller is an end-to-end solution for managing, creating, and editing documents and forms in the cloud. Save time and hassle by preparing your tax forms online.

Oregon Sublease Agreement is not the form you're looking for?Search for another form here.
Relevant keywords
Related Forms
If you believe that this page should be taken down, please follow our DMCA take down process
here
.
This form may include fields for payment information. Data entered in these fields is not covered by PCI DSS compliance.