
DOD Utah Counterdrug Program Temporary Position Vacancy Announcement 2024-2025 free printable template
Show details
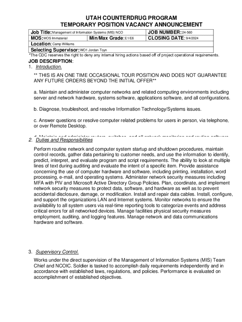
UTAH COUNTERDRUG PROGRAM TEMPORARY POSITION VACANCY ANNOUNCEMENT Job Title: Management of Information Systems (MIS) NCO MOS: MOS Immaterial Min/Max Grade: E1/E6 Camp Williams Location: Selecting Supervisor:
We are not affiliated with any brand or entity on this form
Get, Create, Make and Sign supervisory supply management officer

Edit your supervisory supply management officer form online
Type text, complete fillable fields, insert images, highlight or blackout data for discretion, add comments, and more.

Add your legally-binding signature
Draw or type your signature, upload a signature image, or capture it with your digital camera.

Share your form instantly
Email, fax, or share your supervisory supply management officer form via URL. You can also download, print, or export forms to your preferred cloud storage service.
How to edit supervisory supply management officer online
To use our professional PDF editor, follow these steps:
1
Create an account. Begin by choosing Start Free Trial and, if you are a new user, establish a profile.
2
Simply add a document. Select Add New from your Dashboard and import a file into the system by uploading it from your device or importing it via the cloud, online, or internal mail. Then click Begin editing.
3
Edit supervisory supply management officer. Rearrange and rotate pages, add and edit text, and use additional tools. To save changes and return to your Dashboard, click Done. The Documents tab allows you to merge, divide, lock, or unlock files.
4
Save your file. Select it in the list of your records. Then, move the cursor to the right toolbar and choose one of the available exporting methods: save it in multiple formats, download it as a PDF, send it by email, or store it in the cloud.
With pdfFiller, dealing with documents is always straightforward. Now is the time to try it!
Uncompromising security for your PDF editing and eSignature needs
Your private information is safe with pdfFiller. We employ end-to-end encryption, secure cloud storage, and advanced access control to protect your documents and maintain regulatory compliance.
How to fill out supervisory supply management officer

How to fill out supervisory supply management officer
01
Review the job description to understand the responsibilities and qualifications required.
02
Gather relevant personal information including your education and work experience.
03
Highlight your experience in supply chain management, logistics, and supervisory roles.
04
Prepare a detailed resume that outlines your skills, certifications, and achievements.
05
Write a cover letter that addresses your qualifications and why you are a good fit for the role.
06
Submit your application through the specified channel, ensuring all documents are attached.
07
Prepare for potential interviews by reviewing common questions and formulating your responses.
Who needs supervisory supply management officer?
01
Government agencies looking to manage procurement processes more efficiently.
02
Large corporations that require oversight in supply chain and logistics.
03
Non-profit organizations that need to manage supplies and resources effectively.
04
Educational institutions that procure supplies in bulk for operations.
05
Any organization that aims to improve its supply management practices and requires a knowledgeable leader.
Fill
form
: Try Risk Free
For pdfFiller’s FAQs
Below is a list of the most common customer questions. If you can’t find an answer to your question, please don’t hesitate to reach out to us.
How do I complete supervisory supply management officer on an iOS device?
Make sure you get and install the pdfFiller iOS app. Next, open the app and log in or set up an account to use all of the solution's editing tools. If you want to open your supervisory supply management officer, you can upload it from your device or cloud storage, or you can type the document's URL into the box on the right. After you fill in all of the required fields in the document and eSign it, if that is required, you can save or share it with other people.
How do I edit supervisory supply management officer on an Android device?
The pdfFiller app for Android allows you to edit PDF files like supervisory supply management officer. Mobile document editing, signing, and sending. Install the app to ease document management anywhere.
How do I complete supervisory supply management officer on an Android device?
Use the pdfFiller app for Android to finish your supervisory supply management officer. The application lets you do all the things you need to do with documents, like add, edit, and remove text, sign, annotate, and more. There is nothing else you need except your smartphone and an internet connection to do this.
What is supervisory supply management officer?
A supervisory supply management officer is an individual responsible for overseeing supply chain processes and ensuring compliance with regulations and policies within an organization.
Who is required to file supervisory supply management officer?
Individuals holding supervisory positions within supply management who meet specific criteria set by their organization or regulatory body are required to file.
How to fill out supervisory supply management officer?
To fill out the form, provide accurate information regarding your position, duties, and comply with the required guidelines and sections outlined in the filing instructions.
What is the purpose of supervisory supply management officer?
The purpose is to ensure accountability and transparency in supply chain operations, facilitating compliance with laws and regulations.
What information must be reported on supervisory supply management officer?
Information including the officer's identity, position, responsibilities, and any relevant compliance data must be reported.
Fill out your supervisory supply management officer online with pdfFiller!
pdfFiller is an end-to-end solution for managing, creating, and editing documents and forms in the cloud. Save time and hassle by preparing your tax forms online.

Supervisory Supply Management Officer is not the form you're looking for?Search for another form here.
Relevant keywords
Related Forms
If you believe that this page should be taken down, please follow our DMCA take down process
here
.
This form may include fields for payment information. Data entered in these fields is not covered by PCI DSS compliance.