Get the free New York Transportation Development Corporation Directors ...
Show details
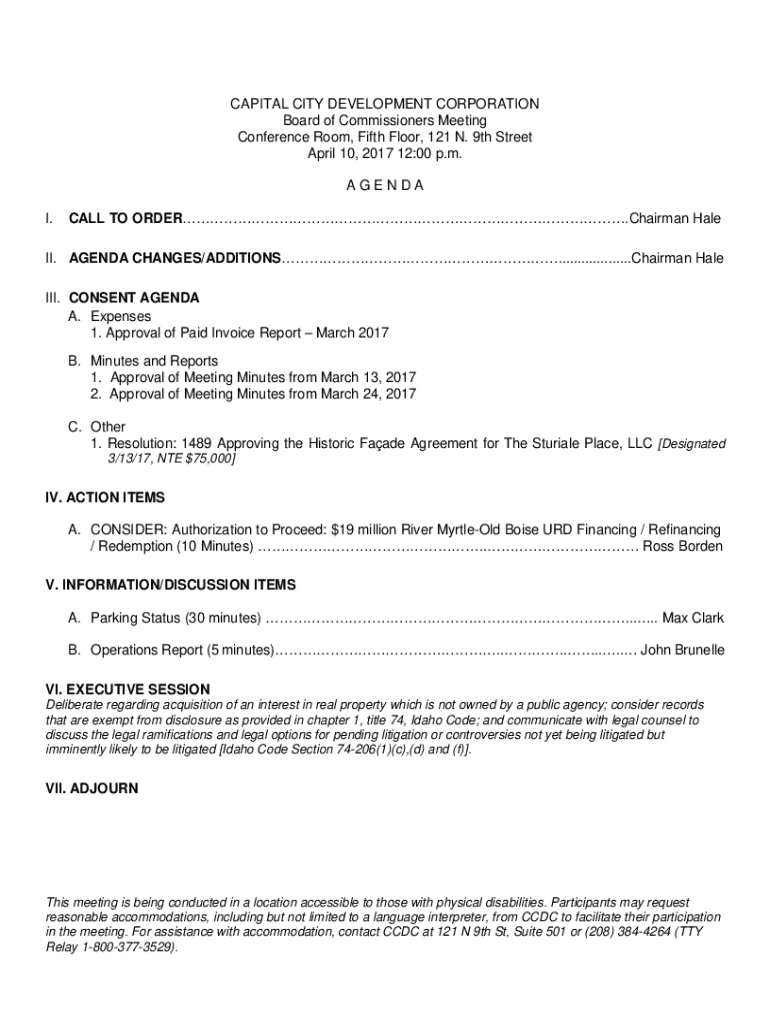
CAPITAL CITY DEVELOPMENT CORPORATION Board of Commissioners Meeting Conference Room, Fifth Floor, 121 N. 9th Street April 10, 2017 12:00 p.m. AGENDA I.CALL TO ORDER.Chairman HaleII. AGENDA CHANGES/ADDITIONS...................Chairman
We are not affiliated with any brand or entity on this form
Get, Create, Make and Sign new york transportation development
Edit your new york transportation development form online
Type text, complete fillable fields, insert images, highlight or blackout data for discretion, add comments, and more.
Add your legally-binding signature
Draw or type your signature, upload a signature image, or capture it with your digital camera.
Share your form instantly
Email, fax, or share your new york transportation development form via URL. You can also download, print, or export forms to your preferred cloud storage service.
How to edit new york transportation development online
Here are the steps you need to follow to get started with our professional PDF editor:
1
Sign into your account. If you don't have a profile yet, click Start Free Trial and sign up for one.
2
Prepare a file. Use the Add New button. Then upload your file to the system from your device, importing it from internal mail, the cloud, or by adding its URL.
3
Edit new york transportation development. Rearrange and rotate pages, insert new and alter existing texts, add new objects, and take advantage of other helpful tools. Click Done to apply changes and return to your Dashboard. Go to the Documents tab to access merging, splitting, locking, or unlocking functions.
4
Save your file. Select it from your records list. Then, click the right toolbar and select one of the various exporting options: save in numerous formats, download as PDF, email, or cloud.
It's easier to work with documents with pdfFiller than you could have ever thought. You may try it out for yourself by signing up for an account.
Uncompromising security for your PDF editing and eSignature needs
Your private information is safe with pdfFiller. We employ end-to-end encryption, secure cloud storage, and advanced access control to protect your documents and maintain regulatory compliance.
How to fill out new york transportation development
How to fill out new york transportation development
01
Gather necessary documents and information about your transportation project.
02
Visit the New York State Department of Transportation website for the application guidelines.
03
Complete the application form, providing detailed project descriptions and objectives.
04
Include a budget outlining expected costs and funding sources.
05
Submit any required environmental assessments or impact studies.
06
Ensure all sections of the application are filled out completely and accurately.
07
Review your application with relevant stakeholders for any additional input before submission.
08
Submit the completed application by the designated deadline, either online or by mail.
Who needs new york transportation development?
01
Local government agencies seeking to improve transportation infrastructure.
02
Private companies involved in transportation development projects.
03
Community organizations advocating for improved transit options.
04
Urban planners and developers looking to enhance accessibility and mobility.
05
Residents who rely on public transportation for their daily commutes.
Fill
form
: Try Risk Free
For pdfFiller’s FAQs
Below is a list of the most common customer questions. If you can’t find an answer to your question, please don’t hesitate to reach out to us.
How can I manage my new york transportation development directly from Gmail?
The pdfFiller Gmail add-on lets you create, modify, fill out, and sign new york transportation development and other documents directly in your email. Click here to get pdfFiller for Gmail. Eliminate tedious procedures and handle papers and eSignatures easily.
How can I modify new york transportation development without leaving Google Drive?
pdfFiller and Google Docs can be used together to make your documents easier to work with and to make fillable forms right in your Google Drive. The integration will let you make, change, and sign documents, like new york transportation development, without leaving Google Drive. Add pdfFiller's features to Google Drive, and you'll be able to do more with your paperwork on any internet-connected device.
How do I edit new york transportation development straight from my smartphone?
The best way to make changes to documents on a mobile device is to use pdfFiller's apps for iOS and Android. You may get them from the Apple Store and Google Play. Learn more about the apps here. To start editing new york transportation development, you need to install and log in to the app.
What is new york transportation development?
New York transportation development refers to initiatives and projects aimed at improving and expanding the transportation infrastructure in New York, including public transit systems, roads, bridges, and other related facilities.
Who is required to file new york transportation development?
Entities involved in transportation projects, including public agencies, private developers, and contractors, are typically required to file New York transportation development documentation.
How to fill out new york transportation development?
To fill out New York transportation development forms, you must provide detailed information about the project, including scope, budget, timelines, and impacts on existing infrastructure. The forms can usually be obtained from the relevant state department and must be submitted according to specific guidelines.
What is the purpose of new york transportation development?
The purpose of New York transportation development is to enhance the efficiency, safety, and sustainability of the transportation system in the state, supporting economic growth and improving accessibility.
What information must be reported on new york transportation development?
Information required typically includes project description, estimated costs, funding sources, timeline, anticipated impacts, and any permits or approvals needed.
Fill out your new york transportation development online with pdfFiller!
pdfFiller is an end-to-end solution for managing, creating, and editing documents and forms in the cloud. Save time and hassle by preparing your tax forms online.
New York Transportation Development is not the form you're looking for?Search for another form here.
Relevant keywords
Related Forms
If you believe that this page should be taken down, please follow our DMCA take down process
here
.
This form may include fields for payment information. Data entered in these fields is not covered by PCI DSS compliance.