Get the free Nassau County Industrial Development Agency Application for Financial Assistance
Show details
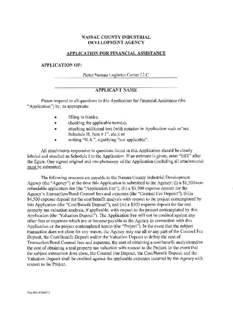
This document is the application for financial assistance from the Nassau County Industrial Development Agency, submitted by Pictor Nassau Logistics Center LLC. It details the necessary information, fees, and conditions related to the proposed financial assistance for developing a logistics center on a former Superfund site. The document outlines the financial implications, the intended project scope, and the applicant\'s background.
We are not affiliated with any brand or entity on this form
Get, Create, Make and Sign nassau county industrial development
Edit your nassau county industrial development form online
Type text, complete fillable fields, insert images, highlight or blackout data for discretion, add comments, and more.
Add your legally-binding signature
Draw or type your signature, upload a signature image, or capture it with your digital camera.
Share your form instantly
Email, fax, or share your nassau county industrial development form via URL. You can also download, print, or export forms to your preferred cloud storage service.
How to edit nassau county industrial development online
In order to make advantage of the professional PDF editor, follow these steps:
1
Log in to your account. Click on Start Free Trial and sign up a profile if you don't have one yet.
2
Prepare a file. Use the Add New button. Then upload your file to the system from your device, importing it from internal mail, the cloud, or by adding its URL.
3
Edit nassau county industrial development. Rearrange and rotate pages, add new and changed texts, add new objects, and use other useful tools. When you're done, click Done. You can use the Documents tab to merge, split, lock, or unlock your files.
4
Get your file. When you find your file in the docs list, click on its name and choose how you want to save it. To get the PDF, you can save it, send an email with it, or move it to the cloud.
Dealing with documents is simple using pdfFiller. Now is the time to try it!
Uncompromising security for your PDF editing and eSignature needs
Your private information is safe with pdfFiller. We employ end-to-end encryption, secure cloud storage, and advanced access control to protect your documents and maintain regulatory compliance.
How to fill out nassau county industrial development
How to fill out nassau county industrial development
01
Visit the Nassau County IDA website to access the application forms.
02
Gather necessary documents including business plan, financial statements, and tax returns.
03
Complete the application form with accurate and detailed information.
04
Prepare a project description outlining the benefits of the project to the county.
05
Submit the completed application along with supporting documents to the Nassau County IDA.
06
Attend the public hearing if required to present your project.
07
Await approval or feedback from the Nassau County IDA.
Who needs nassau county industrial development?
01
Businesses looking for financial assistance to grow or expand operations.
02
Companies seeking tax incentives for development projects in Nassau County.
03
Investors wanting to establish or relocate their business in Nassau County.
Fill
form
: Try Risk Free
For pdfFiller’s FAQs
Below is a list of the most common customer questions. If you can’t find an answer to your question, please don’t hesitate to reach out to us.
How can I send nassau county industrial development for eSignature?
When your nassau county industrial development is finished, send it to recipients securely and gather eSignatures with pdfFiller. You may email, text, fax, mail, or notarize a PDF straight from your account. Create an account today to test it.
How do I fill out the nassau county industrial development form on my smartphone?
Use the pdfFiller mobile app to complete and sign nassau county industrial development on your mobile device. Visit our web page (https://edit-pdf-ios-android.pdffiller.com/) to learn more about our mobile applications, the capabilities you’ll have access to, and the steps to take to get up and running.
How do I complete nassau county industrial development on an iOS device?
Download and install the pdfFiller iOS app. Then, launch the app and log in or create an account to have access to all of the editing tools of the solution. Upload your nassau county industrial development from your device or cloud storage to open it, or input the document URL. After filling out all of the essential areas in the document and eSigning it (if necessary), you may save it or share it with others.
What is Nassau County Industrial Development?
Nassau County Industrial Development refers to the programs and initiatives established by the Nassau County Industrial Development Agency (IDA) to promote and facilitate economic development within the region, often through providing financial incentives to businesses.
Who is required to file Nassau County Industrial Development?
Business entities seeking financial assistance or benefits from the Nassau County IDA are required to file for Nassau County Industrial Development.
How to fill out Nassau County Industrial Development?
To fill out Nassau County Industrial Development forms, applicants typically need to complete specific application forms provided by the Nassau County IDA, including all required information about the business and the proposed project.
What is the purpose of Nassau County Industrial Development?
The purpose of Nassau County Industrial Development is to stimulate economic growth, create jobs, and enhance the tax base by providing incentives for businesses to invest in the area.
What information must be reported on Nassau County Industrial Development?
Information that must be reported includes details about the business, project descriptions, financial projections, employment commitments, and any other material required by the Nassau County IDA.
Fill out your nassau county industrial development online with pdfFiller!
pdfFiller is an end-to-end solution for managing, creating, and editing documents and forms in the cloud. Save time and hassle by preparing your tax forms online.
Nassau County Industrial Development is not the form you're looking for?Search for another form here.
Relevant keywords
Related Forms
If you believe that this page should be taken down, please follow our DMCA take down process
here
.
This form may include fields for payment information. Data entered in these fields is not covered by PCI DSS compliance.