
Get the free Loan Bankruptcy Appeal
Show details
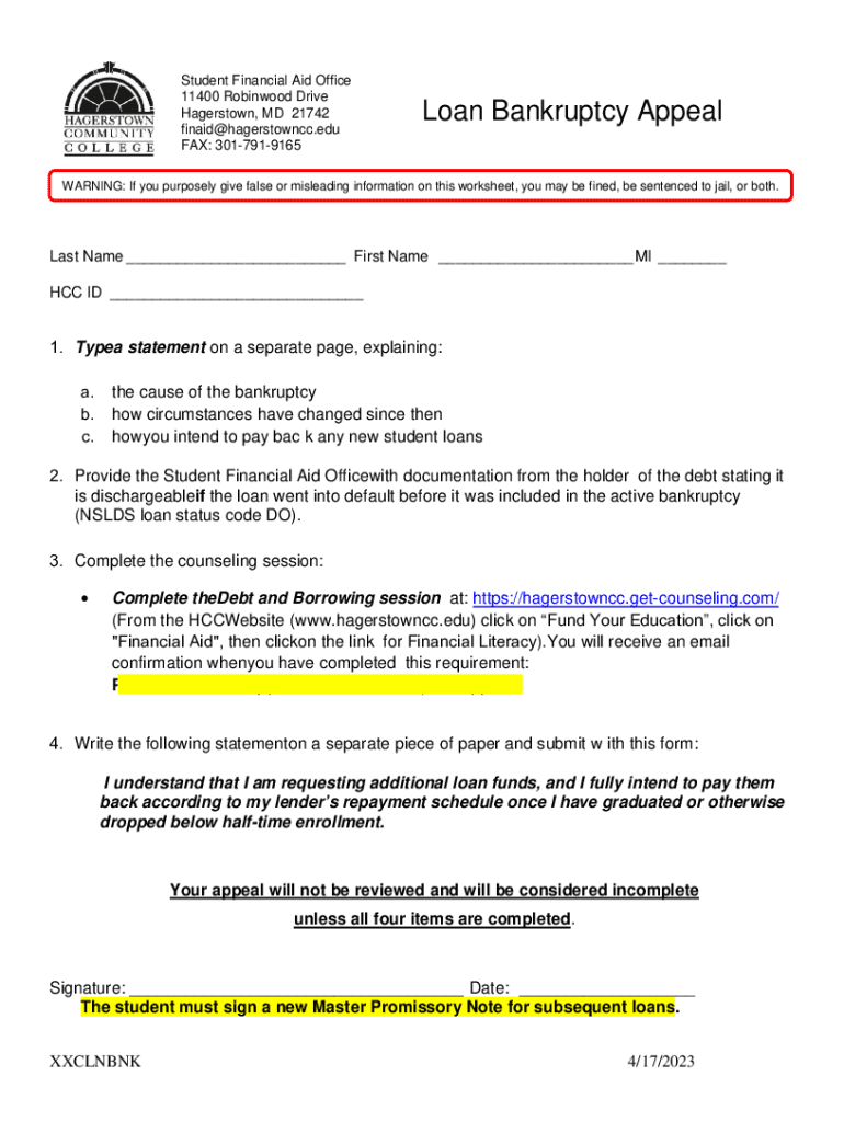
This document is used by students at Hagerstown Community College to appeal for additional loan funds in the event of a bankruptcy. It requires a detailed explanation of the bankruptcy circumstances, documentation from the debt holder, completion of a counseling session, and a signed statement of intent to repay the loans.
We are not affiliated with any brand or entity on this form
Get, Create, Make and Sign loan bankruptcy appeal

Edit your loan bankruptcy appeal form online
Type text, complete fillable fields, insert images, highlight or blackout data for discretion, add comments, and more.

Add your legally-binding signature
Draw or type your signature, upload a signature image, or capture it with your digital camera.

Share your form instantly
Email, fax, or share your loan bankruptcy appeal form via URL. You can also download, print, or export forms to your preferred cloud storage service.
Editing loan bankruptcy appeal online
Use the instructions below to start using our professional PDF editor:
1
Create an account. Begin by choosing Start Free Trial and, if you are a new user, establish a profile.
2
Prepare a file. Use the Add New button to start a new project. Then, using your device, upload your file to the system by importing it from internal mail, the cloud, or adding its URL.
3
Edit loan bankruptcy appeal. Rearrange and rotate pages, insert new and alter existing texts, add new objects, and take advantage of other helpful tools. Click Done to apply changes and return to your Dashboard. Go to the Documents tab to access merging, splitting, locking, or unlocking functions.
4
Save your file. Choose it from the list of records. Then, shift the pointer to the right toolbar and select one of the several exporting methods: save it in multiple formats, download it as a PDF, email it, or save it to the cloud.
pdfFiller makes dealing with documents a breeze. Create an account to find out!
Uncompromising security for your PDF editing and eSignature needs
Your private information is safe with pdfFiller. We employ end-to-end encryption, secure cloud storage, and advanced access control to protect your documents and maintain regulatory compliance.
Fill
form
: Try Risk Free
For pdfFiller’s FAQs
Below is a list of the most common customer questions. If you can’t find an answer to your question, please don’t hesitate to reach out to us.
How can I manage my loan bankruptcy appeal directly from Gmail?
loan bankruptcy appeal and other documents can be changed, filled out, and signed right in your Gmail inbox. You can use pdfFiller's add-on to do this, as well as other things. When you go to Google Workspace, you can find pdfFiller for Gmail. You should use the time you spend dealing with your documents and eSignatures for more important things, like going to the gym or going to the dentist.
How can I get loan bankruptcy appeal?
It's simple using pdfFiller, an online document management tool. Use our huge online form collection (over 25M fillable forms) to quickly discover the loan bankruptcy appeal. Open it immediately and start altering it with sophisticated capabilities.
How can I edit loan bankruptcy appeal on a smartphone?
The easiest way to edit documents on a mobile device is using pdfFiller’s mobile-native apps for iOS and Android. You can download those from the Apple Store and Google Play, respectively. You can learn more about the apps here. Install and log in to the application to start editing loan bankruptcy appeal.
What is loan bankruptcy appeal?
A loan bankruptcy appeal is a legal process where a borrower requests a higher court to review and potentially overturn a bankruptcy court's decision regarding their loans.
Who is required to file loan bankruptcy appeal?
Typically, a borrower who disagrees with a bankruptcy court's ruling regarding their loan obligations or debts is required to file a loan bankruptcy appeal.
How to fill out loan bankruptcy appeal?
To fill out a loan bankruptcy appeal, a borrower must complete the appropriate appellate court forms, provide a notice of appeal, and submit a brief outlining the legal arguments for the appeal.
What is the purpose of loan bankruptcy appeal?
The purpose of a loan bankruptcy appeal is to seek a review of a bankruptcy court's decision to ensure that the ruling was made in accordance with the law and to potentially rectify any perceived errors.
What information must be reported on loan bankruptcy appeal?
The information that must be reported on a loan bankruptcy appeal includes the details of the original bankruptcy case, grounds for appeal, a statement of the issues being appealed, and any supporting documentation relevant to the case.
Fill out your loan bankruptcy appeal online with pdfFiller!
pdfFiller is an end-to-end solution for managing, creating, and editing documents and forms in the cloud. Save time and hassle by preparing your tax forms online.

Loan Bankruptcy Appeal is not the form you're looking for?Search for another form here.
Relevant keywords
Related Forms
If you believe that this page should be taken down, please follow our DMCA take down process
here
.
This form may include fields for payment information. Data entered in these fields is not covered by PCI DSS compliance.