
Get the free Form MN1: guidance (accessible version) - Citizenship
Show details
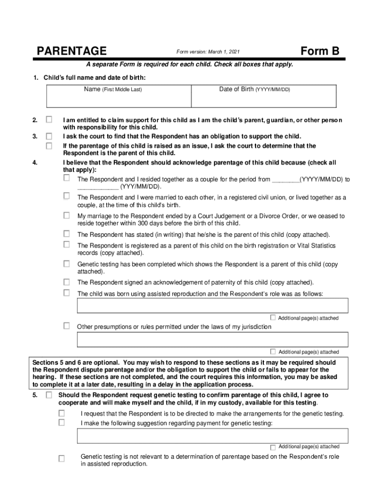
PARENTAGEForm BForm version: March 1, 2021A separate Form is required for each child. Check all boxes that apply. 1. Childs full name and date of birth: Name (First Middle Last)2.3. 4.Date of Birth
We are not affiliated with any brand or entity on this form
Get, Create, Make and Sign form mn1 guidance accessible

Edit your form mn1 guidance accessible form online
Type text, complete fillable fields, insert images, highlight or blackout data for discretion, add comments, and more.

Add your legally-binding signature
Draw or type your signature, upload a signature image, or capture it with your digital camera.

Share your form instantly
Email, fax, or share your form mn1 guidance accessible form via URL. You can also download, print, or export forms to your preferred cloud storage service.
How to edit form mn1 guidance accessible online
To use the professional PDF editor, follow these steps:
1
Create an account. Begin by choosing Start Free Trial and, if you are a new user, establish a profile.
2
Simply add a document. Select Add New from your Dashboard and import a file into the system by uploading it from your device or importing it via the cloud, online, or internal mail. Then click Begin editing.
3
Edit form mn1 guidance accessible. Rearrange and rotate pages, insert new and alter existing texts, add new objects, and take advantage of other helpful tools. Click Done to apply changes and return to your Dashboard. Go to the Documents tab to access merging, splitting, locking, or unlocking functions.
4
Save your file. Choose it from the list of records. Then, shift the pointer to the right toolbar and select one of the several exporting methods: save it in multiple formats, download it as a PDF, email it, or save it to the cloud.
With pdfFiller, it's always easy to deal with documents.
Uncompromising security for your PDF editing and eSignature needs
Your private information is safe with pdfFiller. We employ end-to-end encryption, secure cloud storage, and advanced access control to protect your documents and maintain regulatory compliance.
How to fill out form mn1 guidance accessible

How to fill out form mn1 guidance accessible
01
Obtain the MN1 form from the official government website or relevant authority.
02
Read the guidance notes carefully to understand the requirements.
03
Fill in the personal details section, ensuring accuracy.
04
Provide the necessary supporting documents as stated in the guidance.
05
Check if you need a referee, and if so, ensure they meet the criteria.
06
Review the completed form for any missing or incorrect information.
07
Sign and date the form as required.
08
Submit the form and supporting documents through the specified method (by post or online).
Who needs form mn1 guidance accessible?
01
Individuals applying for UK citizenship or registration as a British citizen, particularly those under 18 years old who are applying through their parents.
Fill
form
: Try Risk Free
For pdfFiller’s FAQs
Below is a list of the most common customer questions. If you can’t find an answer to your question, please don’t hesitate to reach out to us.
How can I get form mn1 guidance accessible?
The premium subscription for pdfFiller provides you with access to an extensive library of fillable forms (over 25M fillable templates) that you can download, fill out, print, and sign. You won’t have any trouble finding state-specific form mn1 guidance accessible and other forms in the library. Find the template you need and customize it using advanced editing functionalities.
How do I edit form mn1 guidance accessible online?
pdfFiller allows you to edit not only the content of your files, but also the quantity and sequence of the pages. Upload your form mn1 guidance accessible to the editor and make adjustments in a matter of seconds. Text in PDFs may be blacked out, typed in, and erased using the editor. You may also include photos, sticky notes, and text boxes, among other things.
Can I create an eSignature for the form mn1 guidance accessible in Gmail?
With pdfFiller's add-on, you may upload, type, or draw a signature in Gmail. You can eSign your form mn1 guidance accessible and other papers directly in your mailbox with pdfFiller. To preserve signed papers and your personal signatures, create an account.
What is form mn1 guidance accessible?
Form MN1 is a regulatory document that entities must file to provide information required by the financial regulatory authorities. The guidance for this form offers instructions and criteria for its completion.
Who is required to file form mn1 guidance accessible?
Entities that meet specific criteria set by regulatory authorities, such as those involved in certain financial activities or transactions, are required to file Form MN1.
How to fill out form mn1 guidance accessible?
To fill out Form MN1, entities must follow the provided instructions carefully, ensuring that all required fields are completed accurately and any necessary supporting documentation is attached.
What is the purpose of form mn1 guidance accessible?
The purpose of Form MN1 is to collect essential information from entities to ensure compliance with financial regulations and to facilitate monitoring by regulatory authorities.
What information must be reported on form mn1 guidance accessible?
Form MN1 requires reporting information such as the entity's identity, the nature of its financial activities, transaction details, and any other specific data required by the regulatory framework.
Fill out your form mn1 guidance accessible online with pdfFiller!
pdfFiller is an end-to-end solution for managing, creating, and editing documents and forms in the cloud. Save time and hassle by preparing your tax forms online.

Form mn1 Guidance Accessible is not the form you're looking for?Search for another form here.
Relevant keywords
Related Forms
If you believe that this page should be taken down, please follow our DMCA take down process
here
.
This form may include fields for payment information. Data entered in these fields is not covered by PCI DSS compliance.