
Get the free Application for Conditional Use
Show details
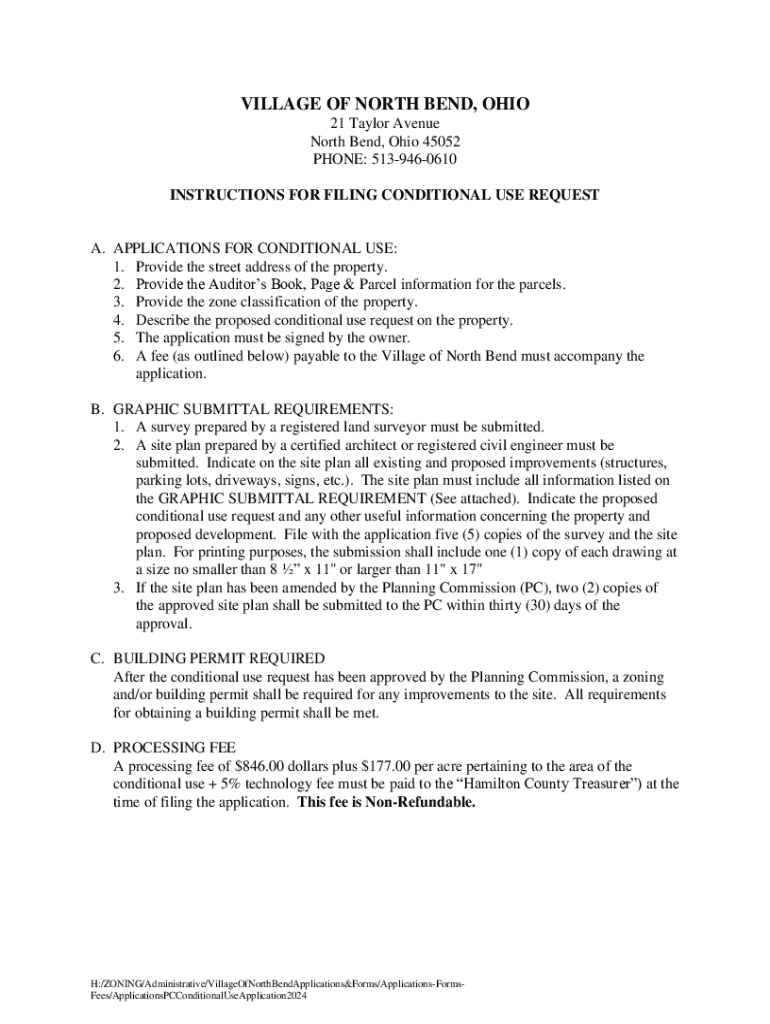
This document outlines the instructions and requirements for filing a conditional use request within the Village of North Bend, including necessary information about the property, fee structure, and graphic submission requirements.
We are not affiliated with any brand or entity on this form
Get, Create, Make and Sign application for conditional use

Edit your application for conditional use form online
Type text, complete fillable fields, insert images, highlight or blackout data for discretion, add comments, and more.

Add your legally-binding signature
Draw or type your signature, upload a signature image, or capture it with your digital camera.

Share your form instantly
Email, fax, or share your application for conditional use form via URL. You can also download, print, or export forms to your preferred cloud storage service.
Editing application for conditional use online
Follow the steps below to benefit from the PDF editor's expertise:
1
Log in. Click Start Free Trial and create a profile if necessary.
2
Upload a file. Select Add New on your Dashboard and upload a file from your device or import it from the cloud, online, or internal mail. Then click Edit.
3
Edit application for conditional use. Rearrange and rotate pages, insert new and alter existing texts, add new objects, and take advantage of other helpful tools. Click Done to apply changes and return to your Dashboard. Go to the Documents tab to access merging, splitting, locking, or unlocking functions.
4
Save your file. Select it from your records list. Then, click the right toolbar and select one of the various exporting options: save in numerous formats, download as PDF, email, or cloud.
pdfFiller makes dealing with documents a breeze. Create an account to find out!
Uncompromising security for your PDF editing and eSignature needs
Your private information is safe with pdfFiller. We employ end-to-end encryption, secure cloud storage, and advanced access control to protect your documents and maintain regulatory compliance.
How to fill out application for conditional use

How to fill out application for conditional use
01
Gather all necessary information regarding the property and intended use.
02
Obtain the application form from the local zoning office or website.
03
Complete the application form, including details about your property, proposed use, and any supporting documentation.
04
Prepare a site plan that shows your property layout and how the proposed use will fit within it.
05
Pay any required filing fees as per local regulations.
06
Submit the completed application along with all required documents to the appropriate zoning board or department.
07
Attend any scheduled public hearings or meetings if required, and prepare to address any questions from the board or community.
Who needs application for conditional use?
01
Property owners seeking to establish a use of their land that is not permitted under the current zoning regulations.
02
Developers proposing new projects that require special permission due to zoning restrictions.
03
Businesses wanting to modify existing operations that may not conform to current zoning laws.
04
Individuals or organizations looking to implement a new type of activity in a zone where it may not traditionally be allowed.
Fill
form
: Try Risk Free
For pdfFiller’s FAQs
Below is a list of the most common customer questions. If you can’t find an answer to your question, please don’t hesitate to reach out to us.
How can I get application for conditional use?
It’s easy with pdfFiller, a comprehensive online solution for professional document management. Access our extensive library of online forms (over 25M fillable forms are available) and locate the application for conditional use in a matter of seconds. Open it right away and start customizing it using advanced editing features.
Can I create an electronic signature for the application for conditional use in Chrome?
You can. With pdfFiller, you get a strong e-signature solution built right into your Chrome browser. Using our addon, you may produce a legally enforceable eSignature by typing, sketching, or photographing it. Choose your preferred method and eSign in minutes.
Can I edit application for conditional use on an iOS device?
Create, edit, and share application for conditional use from your iOS smartphone with the pdfFiller mobile app. Installing it from the Apple Store takes only a few seconds. You may take advantage of a free trial and select a subscription that meets your needs.
What is application for conditional use?
An application for conditional use is a request submitted to local zoning authorities seeking permission to use land in a way that is not allowed by the current zoning ordinance but may be permissible under certain conditions.
Who is required to file application for conditional use?
Property owners or developers who wish to utilize their land for purposes not explicitly permitted by the zoning laws are required to file an application for conditional use.
How to fill out application for conditional use?
To fill out an application for conditional use, applicants typically need to provide details about the proposed use, existing zoning, site plans, and how the use will comply with local regulations, along with any supporting documents required by the local jurisdiction.
What is the purpose of application for conditional use?
The purpose of an application for conditional use is to allow flexibility in land use regulations, enabling property owners to engage in specific activities that may not be standard in a zoning district, while ensuring those uses align with community goals and standards.
What information must be reported on application for conditional use?
Information typically required on an application for conditional use includes the applicant's contact information, property details, proposed use description, site plans, any potential impacts on the surrounding area, and how the use will adhere to zoning objectives and standards.
Fill out your application for conditional use online with pdfFiller!
pdfFiller is an end-to-end solution for managing, creating, and editing documents and forms in the cloud. Save time and hassle by preparing your tax forms online.

Application For Conditional Use is not the form you're looking for?Search for another form here.
Relevant keywords
Related Forms
If you believe that this page should be taken down, please follow our DMCA take down process
here
.
This form may include fields for payment information. Data entered in these fields is not covered by PCI DSS compliance.