Form preview

Get the free 1646 as follows:

Get Form
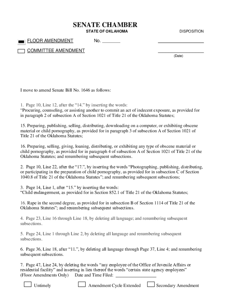
SENATE CHAMBER STATE OF OKLAHOMAFLOOR AMENDMENTDISPOSITIONNo. ___COMMITTEE AMENDMENT (Date)I move to amend Senate Bill No. 1646 as follows: 1. Page 10, Line 12, after the 14. by inserting the words: Procuring, counseling, or assisting another to commit an act of indecent exposure, as provided for in paragraph 2 of subsection A of Section 1021 of Title 21 of the Oklahoma Statutes; 15. Preparing, publishing, selling, distributing, downloading on a computer, or exhibiting obscene material
We are not affiliated with any brand or entity on this form

Get, Create, Make and Sign 1646 as follows

Edit
Edit your 1646 as follows form online
Type text, complete fillable fields, insert images, highlight or blackout data for discretion, add comments, and more.
Add
Add your legally-binding signature
Draw or type your signature, upload a signature image, or capture it with your digital camera.
Share
Share your form instantly
Email, fax, or share your 1646 as follows form via URL. You can also download, print, or export forms to your preferred cloud storage service.

How to edit 1646 as follows online

9.5
Ease of Setup
pdfFiller User Ratings on G2
9.0
Ease of Use
pdfFiller User Ratings on G2
To use the professional PDF editor, follow these steps below:
1
Log in. Click Start Free Trial and create a profile if necessary.
2
Prepare a file. Use the Add New button to start a new project. Then, using your device, upload your file to the system by importing it from internal mail, the cloud, or adding its URL.
3
Edit 1646 as follows. Rearrange and rotate pages, insert new and alter existing texts, add new objects, and take advantage of other helpful tools. Click Done to apply changes and return to your Dashboard. Go to the Documents tab to access merging, splitting, locking, or unlocking functions.
4
Save your file. Select it from your list of records. Then, move your cursor to the right toolbar and choose one of the exporting options. You can save it in multiple formats, download it as a PDF, send it by email, or store it in the cloud, among other things.
It's easier to work with documents with pdfFiller than you could have believed. You may try it out for yourself by signing up for an account.

Uncompromising security for your PDF editing and eSignature needs

Your private information is safe with pdfFiller. We employ end-to-end encryption, secure cloud storage, and advanced access control to protect your documents and maintain regulatory compliance.
GDPR
AICPA SOC 2
PCI
HIPAA
CCPA
FDA

How to fill out 1646 as follows

Illustration

How to fill out 1646 as follows

01
Obtain Form 1646 from the official website or local office.
02
Read the instructions carefully to understand the required information.
03
Fill out your personal information at the top of the form, including your name, address, and contact details.
04
Provide any relevant identification numbers, such as Social Security or taxpayer ID numbers.
05
Answer all questions accurately in the designated sections.
06
If applicable, include any additional supporting documentation.
07
Review the completed form for any errors or omissions.
08
Sign and date the form as required.
09
Submit the form according to the provided submission guidelines (mail, online, etc.).

Who needs 1646 as follows?

01
Individuals or entities required to report specific information to the tax authority.
02
Taxpayers seeking to claim benefits or deductions related to their taxes.
03
Those involved in tax-related processes that necessitate the use of Form 1646.
Fill form : Try Risk Free
Users Most Likely To Recommend - Summer 2025
Grid Leader in Small-Business - Summer 2025
High Performer - Summer 2025
Regional Leader - Summer 2025
Easiest To Do Business With - Summer 2025
Best Meets Requirements- Summer 2025
Rate the form
4.5
Satisfied
45 Votes

For pdfFiller’s FAQs

Below is a list of the most common customer questions. If you can’t find an answer to your question, please don’t hesitate to reach out to us.

As a PDF editor and form builder, pdfFiller has a lot of features. It also has a powerful e-signature tool that you can add to your Chrome browser. With our extension, you can type, draw, or take a picture of your signature with your webcam to make your legally-binding eSignature. Choose how you want to sign your 1646 as follows and you'll be done in minutes.
You can quickly make and fill out legal forms with the help of the pdfFiller app on your phone. Complete and sign 1646 as follows and other documents on your mobile device using the application. If you want to learn more about how the PDF editor works, go to pdfFiller.com.
Use the pdfFiller app for Android to finish your 1646 as follows. The application lets you do all the things you need to do with documents, like add, edit, and remove text, sign, annotate, and more. There is nothing else you need except your smartphone and an internet connection to do this.
1646 is a reference to a specific form used for tax reporting or compliance purposes in certain jurisdictions.
Individuals or entities who meet specific criteria set by the tax authority, typically related to income or business operation, are required to file form 1646.
To fill out 1646, individuals need to gather relevant financial information, carefully complete all sections of the form, and ensure compliance with any specific guidelines provided by the tax authority.
The purpose of form 1646 is to provide the tax authority with information necessary for assessing tax liability and ensuring compliance with tax laws.
Form 1646 typically requires reporting income, deductions, credits, and other financial details that affect tax calculations.
Fill out your 1646 as follows online with pdfFiller!

pdfFiller is an end-to-end solution for managing, creating, and editing documents and forms in the cloud. Save time and hassle by preparing your tax forms online.

Get started now
Form preview

Related Forms

If you believe that this page should be taken down, please follow our DMCA take down process here .
This form may include fields for payment information. Data entered in these fields is not covered by PCI DSS compliance.