Get the free OWNER NAME(S): George E
Show details
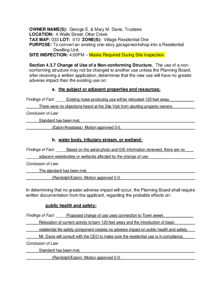
OWNER NAME(S): George E. & Mary M. Davis, Trustees LOCATION: 4 Walls Street, Otter Creek TAX MAP: 033 LOT: 010 ZONE(S): Village Residential One PURPOSE: To convert an existing onestory garage/workshop into a Residential Dwelling Unit. SITE INSPECTION: 4:00PM Masks Required During Site Inspection. Section 4.3.7 Change of Use of a Nonconforming Structure. The use of a nonconforming structure may not be changed to another use unless the Planning Board, after receiving a written application,...
We are not affiliated with any brand or entity on this form
Get, Create, Make and Sign owner names george e
Edit your owner names george e form online
Type text, complete fillable fields, insert images, highlight or blackout data for discretion, add comments, and more.
Add your legally-binding signature
Draw or type your signature, upload a signature image, or capture it with your digital camera.
Share your form instantly
Email, fax, or share your owner names george e form via URL. You can also download, print, or export forms to your preferred cloud storage service.
Editing owner names george e online
To use our professional PDF editor, follow these steps:
1
Log in. Click Start Free Trial and create a profile if necessary.
2
Upload a document. Select Add New on your Dashboard and transfer a file into the system in one of the following ways: by uploading it from your device or importing from the cloud, web, or internal mail. Then, click Start editing.
3
Edit owner names george e. Rearrange and rotate pages, insert new and alter existing texts, add new objects, and take advantage of other helpful tools. Click Done to apply changes and return to your Dashboard. Go to the Documents tab to access merging, splitting, locking, or unlocking functions.
4
Get your file. Select your file from the documents list and pick your export method. You may save it as a PDF, email it, or upload it to the cloud.
With pdfFiller, it's always easy to deal with documents. Try it right now
Uncompromising security for your PDF editing and eSignature needs
Your private information is safe with pdfFiller. We employ end-to-end encryption, secure cloud storage, and advanced access control to protect your documents and maintain regulatory compliance.
How to fill out owner names george e
How to fill out owner names george e
01
Step 1: Start by locating the appropriate form or document where the owner names need to be filled out.
02
Step 2: Identify the section specifically designated for owner's names.
03
Step 3: Clearly write 'George E' in the designated area for owner names.
04
Step 4: Double-check the spelling and ensure that 'George E' is correctly entered.
05
Step 5: If there is a need for additional information (such as middle initials or suffixes), include that as well according to the form's requirements.
06
Step 6: Follow any additional instructions provided on the form regarding owner names.
Who needs owner names george e?
01
Individuals or businesses that require registration or documentation involving property or assets need owner names.
02
Real estate agents and legal professionals may need the owner's names for transaction purposes.
03
Government agencies may require owner names for compliance or taxation.
04
Landlords and property managers often need to document owner names in lease agreements.
Fill
form
: Try Risk Free
For pdfFiller’s FAQs
Below is a list of the most common customer questions. If you can’t find an answer to your question, please don’t hesitate to reach out to us.
How do I fill out the owner names george e form on my smartphone?
Use the pdfFiller mobile app to complete and sign owner names george e on your mobile device. Visit our web page (https://edit-pdf-ios-android.pdffiller.com/) to learn more about our mobile applications, the capabilities you’ll have access to, and the steps to take to get up and running.
How do I edit owner names george e on an Android device?
You can. With the pdfFiller Android app, you can edit, sign, and distribute owner names george e from anywhere with an internet connection. Take use of the app's mobile capabilities.
How do I fill out owner names george e on an Android device?
Complete owner names george e and other documents on your Android device with the pdfFiller app. The software allows you to modify information, eSign, annotate, and share files. You may view your papers from anywhere with an internet connection.
What is owner names george e?
Owner names george e refers to a specific filing or documentation requirement where the name 'George E' is listed as the owner of certain assets or properties.
Who is required to file owner names george e?
Individuals or entities that have legal ownership of assets or properties attributed to the name 'George E' are required to file this information.
How to fill out owner names george e?
To fill out owner names george e, provide the full name 'George E', along with any necessary identifying information such as an address, contact details, and a description of the ownership interest.
What is the purpose of owner names george e?
The purpose of owner names george e is to establish and record legal ownership of assets or properties for clarity in ownership rights and responsibilities.
What information must be reported on owner names george e?
The information that must be reported includes the owner's full name, address, type of ownership, and specific details regarding the assets or properties owned.
Fill out your owner names george e online with pdfFiller!
pdfFiller is an end-to-end solution for managing, creating, and editing documents and forms in the cloud. Save time and hassle by preparing your tax forms online.
Owner Names George E is not the form you're looking for?Search for another form here.
Relevant keywords
Related Forms
If you believe that this page should be taken down, please follow our DMCA take down process
here
.
This form may include fields for payment information. Data entered in these fields is not covered by PCI DSS compliance.