
Get the free Checklist for Applicants to the Pps Sb Certifying Examinations - pps org
Show details
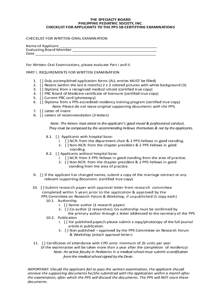
Este documento es una lista de verificación para los solicitantes del examen de certificación del Specialty Board de la Philippine Pediatric Society. Incluye los requisitos necesarios para las evaluaciones escritas y orales, así como instrucciones específicas para la presentación de documentos y cartas de recomendación.
We are not affiliated with any brand or entity on this form
Get, Create, Make and Sign checklist for applicants to

Edit your checklist for applicants to form online
Type text, complete fillable fields, insert images, highlight or blackout data for discretion, add comments, and more.

Add your legally-binding signature
Draw or type your signature, upload a signature image, or capture it with your digital camera.

Share your form instantly
Email, fax, or share your checklist for applicants to form via URL. You can also download, print, or export forms to your preferred cloud storage service.
How to edit checklist for applicants to online
To use the professional PDF editor, follow these steps below:
1
Set up an account. If you are a new user, click Start Free Trial and establish a profile.
2
Simply add a document. Select Add New from your Dashboard and import a file into the system by uploading it from your device or importing it via the cloud, online, or internal mail. Then click Begin editing.
3
Edit checklist for applicants to. Add and change text, add new objects, move pages, add watermarks and page numbers, and more. Then click Done when you're done editing and go to the Documents tab to merge or split the file. If you want to lock or unlock the file, click the lock or unlock button.
4
Save your file. Select it in the list of your records. Then, move the cursor to the right toolbar and choose one of the available exporting methods: save it in multiple formats, download it as a PDF, send it by email, or store it in the cloud.
It's easier to work with documents with pdfFiller than you can have believed. Sign up for a free account to view.
Uncompromising security for your PDF editing and eSignature needs
Your private information is safe with pdfFiller. We employ end-to-end encryption, secure cloud storage, and advanced access control to protect your documents and maintain regulatory compliance.
How to fill out checklist for applicants to

How to fill out checklist for applicants to
01
Gather all necessary documents required for the application.
02
Review the checklist to understand each item that needs to be completed.
03
Check off each item as you complete it to ensure nothing is missed.
04
Double-check that all required documents are provided and correctly filled out.
05
Submit the checklist along with your application for review.
Who needs checklist for applicants to?
01
Applicants seeking a job or admission to an educational program.
02
Recruiters and admissions officers who want to ensure all requirements are met.
03
Organizations or institutions that have a formalized application process.
Fill
form
: Try Risk Free
For pdfFiller’s FAQs
Below is a list of the most common customer questions. If you can’t find an answer to your question, please don’t hesitate to reach out to us.
How can I modify checklist for applicants to without leaving Google Drive?
You can quickly improve your document management and form preparation by integrating pdfFiller with Google Docs so that you can create, edit and sign documents directly from your Google Drive. The add-on enables you to transform your checklist for applicants to into a dynamic fillable form that you can manage and eSign from any internet-connected device.
How do I edit checklist for applicants to straight from my smartphone?
You can easily do so with pdfFiller's apps for iOS and Android devices, which can be found at the Apple Store and the Google Play Store, respectively. You can use them to fill out PDFs. We have a website where you can get the app, but you can also get it there. When you install the app, log in, and start editing checklist for applicants to, you can start right away.
How do I fill out checklist for applicants to on an Android device?
Use the pdfFiller mobile app to complete your checklist for applicants to on an Android device. The application makes it possible to perform all needed document management manipulations, like adding, editing, and removing text, signing, annotating, and more. All you need is your smartphone and an internet connection.
What is checklist for applicants to?
The checklist for applicants is a document used to ensure that all necessary requirements and documents are submitted as part of an application process.
Who is required to file checklist for applicants to?
Individuals or organizations applying for a specific program, grant, or permit are typically required to file the checklist for applicants.
How to fill out checklist for applicants to?
To fill out the checklist for applicants, review the list of requirements, mark each item as complete or not applicable, and provide any required supplementary information or documentation as instructed.
What is the purpose of checklist for applicants to?
The purpose of the checklist for applicants is to streamline the application process, ensuring that all necessary information is collected and facilitating the review by the relevant authorities.
What information must be reported on checklist for applicants to?
The checklist for applicants typically requires reporting personal identification details, project descriptions, required certifications, and any additional documents specified by the application guidelines.
Fill out your checklist for applicants to online with pdfFiller!
pdfFiller is an end-to-end solution for managing, creating, and editing documents and forms in the cloud. Save time and hassle by preparing your tax forms online.

Checklist For Applicants To is not the form you're looking for?Search for another form here.
Relevant keywords
Related Forms
If you believe that this page should be taken down, please follow our DMCA take down process
here
.
This form may include fields for payment information. Data entered in these fields is not covered by PCI DSS compliance.