Get the free Use of Facilities Form
Show details
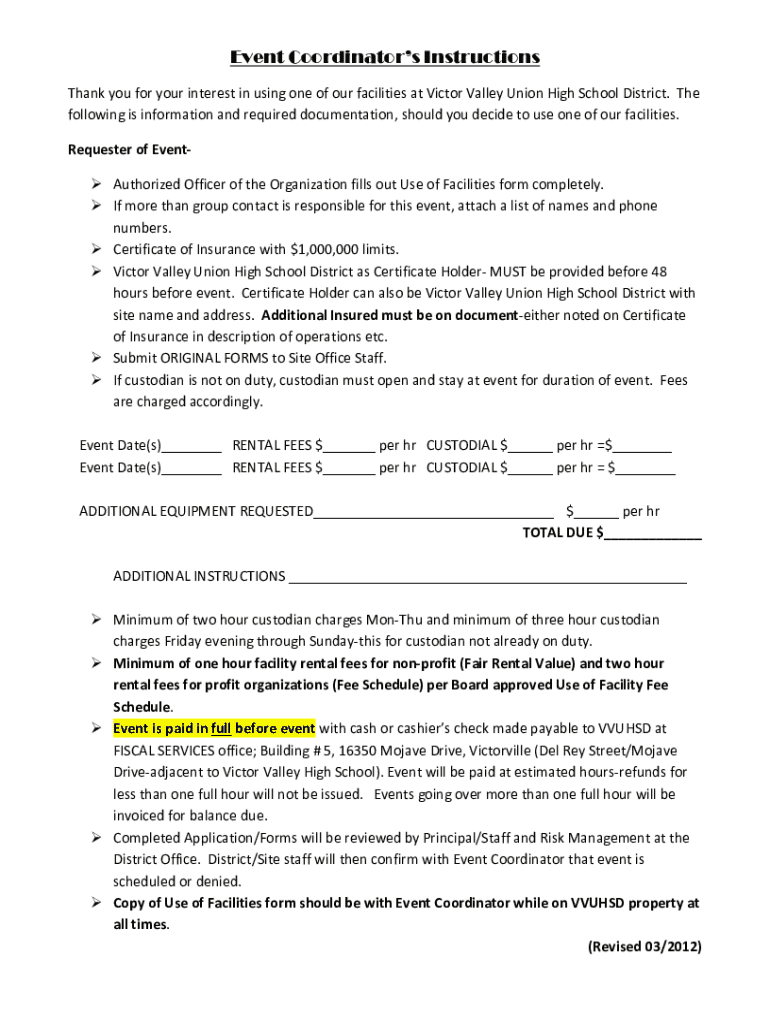
This document provides instructions and information for organizations wishing to use facilities at Victor Valley Union High School District. It outlines the necessary documentation, fees, and procedures
We are not affiliated with any brand or entity on this form
Get, Create, Make and Sign use of facilities form
Edit your use of facilities form form online
Type text, complete fillable fields, insert images, highlight or blackout data for discretion, add comments, and more.
Add your legally-binding signature
Draw or type your signature, upload a signature image, or capture it with your digital camera.
Share your form instantly
Email, fax, or share your use of facilities form form via URL. You can also download, print, or export forms to your preferred cloud storage service.
How to edit use of facilities form online
To use our professional PDF editor, follow these steps:
1
Check your account. In case you're new, it's time to start your free trial.
2
Upload a file. Select Add New on your Dashboard and upload a file from your device or import it from the cloud, online, or internal mail. Then click Edit.
3
Edit use of facilities form. Rearrange and rotate pages, add and edit text, and use additional tools. To save changes and return to your Dashboard, click Done. The Documents tab allows you to merge, divide, lock, or unlock files.
4
Get your file. Select your file from the documents list and pick your export method. You may save it as a PDF, email it, or upload it to the cloud.
With pdfFiller, it's always easy to deal with documents. Try it right now
Uncompromising security for your PDF editing and eSignature needs
Your private information is safe with pdfFiller. We employ end-to-end encryption, secure cloud storage, and advanced access control to protect your documents and maintain regulatory compliance.
How to fill out use of facilities form
How to fill out use of facilities form
01
Obtain the use of facilities form from the relevant office or website.
02
Fill in the personal details, including your name, contact information, and organization (if applicable).
03
Specify the date and time for which you require the facility.
04
Indicate the type of facility you wish to use (e.g., meeting room, sports hall).
05
Describe the purpose of the use, including any specific requirements you have.
06
Provide information about the expected number of participants.
07
Review the form for accuracy and completeness.
08
Sign and date the form where required.
09
Submit the completed form to the appropriate department or office.
Who needs use of facilities form?
01
Individuals or organizations planning to hold events or activities on a facility.
02
Community groups looking to utilize public spaces.
03
Businesses requiring space for meetings or workshops.
04
Students or student organizations needing facilities for events.
05
Anyone needing access to facilities for recreational or educational purposes.
Fill
form
: Try Risk Free
For pdfFiller’s FAQs
Below is a list of the most common customer questions. If you can’t find an answer to your question, please don’t hesitate to reach out to us.
How can I manage my use of facilities form directly from Gmail?
Using pdfFiller's Gmail add-on, you can edit, fill out, and sign your use of facilities form and other papers directly in your email. You may get it through Google Workspace Marketplace. Make better use of your time by handling your papers and eSignatures.
How do I execute use of facilities form online?
pdfFiller makes it easy to finish and sign use of facilities form online. It lets you make changes to original PDF content, highlight, black out, erase, and write text anywhere on a page, legally eSign your form, and more, all from one place. Create a free account and use the web to keep track of professional documents.
Can I edit use of facilities form on an iOS device?
You can. Using the pdfFiller iOS app, you can edit, distribute, and sign use of facilities form. Install it in seconds at the Apple Store. The app is free, but you must register to buy a subscription or start a free trial.
What is use of facilities form?
The use of facilities form is a document used to request permission to utilize specific facilities for activities or events.
Who is required to file use of facilities form?
Individuals or organizations wishing to use a facility must file the use of facilities form.
How to fill out use of facilities form?
To fill out the use of facilities form, provide necessary details such as event type, dates, times, number of participants, and any special requirements.
What is the purpose of use of facilities form?
The purpose of the use of facilities form is to manage facility usage, ensuring availability, compliance with regulations, and safety.
What information must be reported on use of facilities form?
The information required includes the name of the requester, purpose of use, date and time of the event, expected attendance, and any equipment or services needed.
Fill out your use of facilities form online with pdfFiller!
pdfFiller is an end-to-end solution for managing, creating, and editing documents and forms in the cloud. Save time and hassle by preparing your tax forms online.
Use Of Facilities Form is not the form you're looking for?Search for another form here.
Relevant keywords
Related Forms
If you believe that this page should be taken down, please follow our DMCA take down process
here
.
This form may include fields for payment information. Data entered in these fields is not covered by PCI DSS compliance.