
Get the free Worksheet for New Course Proposal
Show details
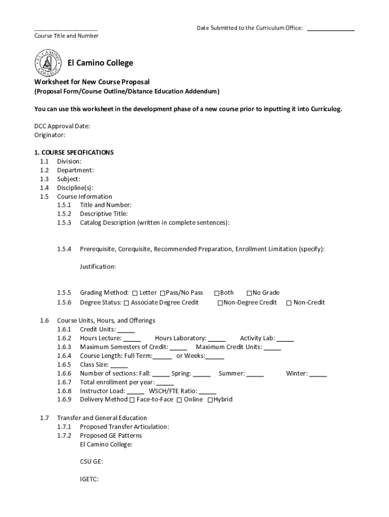
Este documento es una hoja de trabajo para proponer un nuevo curso en El Camino College, que incluye especificaciones del curso, justificaciones, métodos de evaluación y requisitos de recursos.
We are not affiliated with any brand or entity on this form
Get, Create, Make and Sign worksheet for new course

Edit your worksheet for new course form online
Type text, complete fillable fields, insert images, highlight or blackout data for discretion, add comments, and more.

Add your legally-binding signature
Draw or type your signature, upload a signature image, or capture it with your digital camera.

Share your form instantly
Email, fax, or share your worksheet for new course form via URL. You can also download, print, or export forms to your preferred cloud storage service.
How to edit worksheet for new course online
To use the professional PDF editor, follow these steps below:
1
Create an account. Begin by choosing Start Free Trial and, if you are a new user, establish a profile.
2
Prepare a file. Use the Add New button to start a new project. Then, using your device, upload your file to the system by importing it from internal mail, the cloud, or adding its URL.
3
Edit worksheet for new course. Rearrange and rotate pages, add and edit text, and use additional tools. To save changes and return to your Dashboard, click Done. The Documents tab allows you to merge, divide, lock, or unlock files.
4
Get your file. Select your file from the documents list and pick your export method. You may save it as a PDF, email it, or upload it to the cloud.
With pdfFiller, it's always easy to work with documents.
Uncompromising security for your PDF editing and eSignature needs
Your private information is safe with pdfFiller. We employ end-to-end encryption, secure cloud storage, and advanced access control to protect your documents and maintain regulatory compliance.
How to fill out worksheet for new course

How to fill out worksheet for new course
01
Gather all necessary materials: syllabus, course description, and any prerequisite documents.
02
Clearly define the objectives of the new course.
03
Outline the key topics and modules to be covered in the course.
04
Fill out the course information section: title, course code, credits, and instructor details.
05
Set a timeline for the course, including important deadlines, assessments, and a tentative schedule.
06
Include resources needed for the course: textbooks, software, and additional materials.
07
Provide any special instructions or notes relevant to the course format or delivery method.
08
Review the completed worksheet for any errors or omissions before submission.
Who needs worksheet for new course?
01
Instructors or professors preparing to teach a new course.
02
Curriculum developers in educational institutions.
03
Administrative staff responsible for course approvals.
04
Academic advisors guiding students on new course offerings.
Fill
form
: Try Risk Free
For pdfFiller’s FAQs
Below is a list of the most common customer questions. If you can’t find an answer to your question, please don’t hesitate to reach out to us.
How do I make changes in worksheet for new course?
With pdfFiller, you may not only alter the content but also rearrange the pages. Upload your worksheet for new course and modify it with a few clicks. The editor lets you add photos, sticky notes, text boxes, and more to PDFs.
How do I fill out the worksheet for new course form on my smartphone?
On your mobile device, use the pdfFiller mobile app to complete and sign worksheet for new course. Visit our website (https://edit-pdf-ios-android.pdffiller.com/) to discover more about our mobile applications, the features you'll have access to, and how to get started.
Can I edit worksheet for new course on an Android device?
With the pdfFiller Android app, you can edit, sign, and share worksheet for new course on your mobile device from any place. All you need is an internet connection to do this. Keep your documents in order from anywhere with the help of the app!
What is worksheet for new course?
A worksheet for a new course is a document that outlines the essential details and requirements of the course, including objectives, curriculum, and resources needed for implementation.
Who is required to file worksheet for new course?
Generally, educators or administrators in charge of curriculum development are required to file a worksheet for a new course to ensure it meets institutional guidelines.
How to fill out worksheet for new course?
To fill out a worksheet for a new course, you typically need to provide information such as course title, description, learning outcomes, assessment methods, and resource requirements.
What is the purpose of worksheet for new course?
The purpose of the worksheet for a new course is to facilitate the planning and approval process, ensuring all relevant aspects are considered before the course is launched.
What information must be reported on worksheet for new course?
Information that must be reported includes course name, description, target audience, prerequisites, learning goals, assessment methods, and materials needed for instruction.
Fill out your worksheet for new course online with pdfFiller!
pdfFiller is an end-to-end solution for managing, creating, and editing documents and forms in the cloud. Save time and hassle by preparing your tax forms online.

Worksheet For New Course is not the form you're looking for?Search for another form here.
Relevant keywords
Related Forms
If you believe that this page should be taken down, please follow our DMCA take down process
here
.
This form may include fields for payment information. Data entered in these fields is not covered by PCI DSS compliance.