Get the free Reporting Committee Racing Rules Committee
Show details
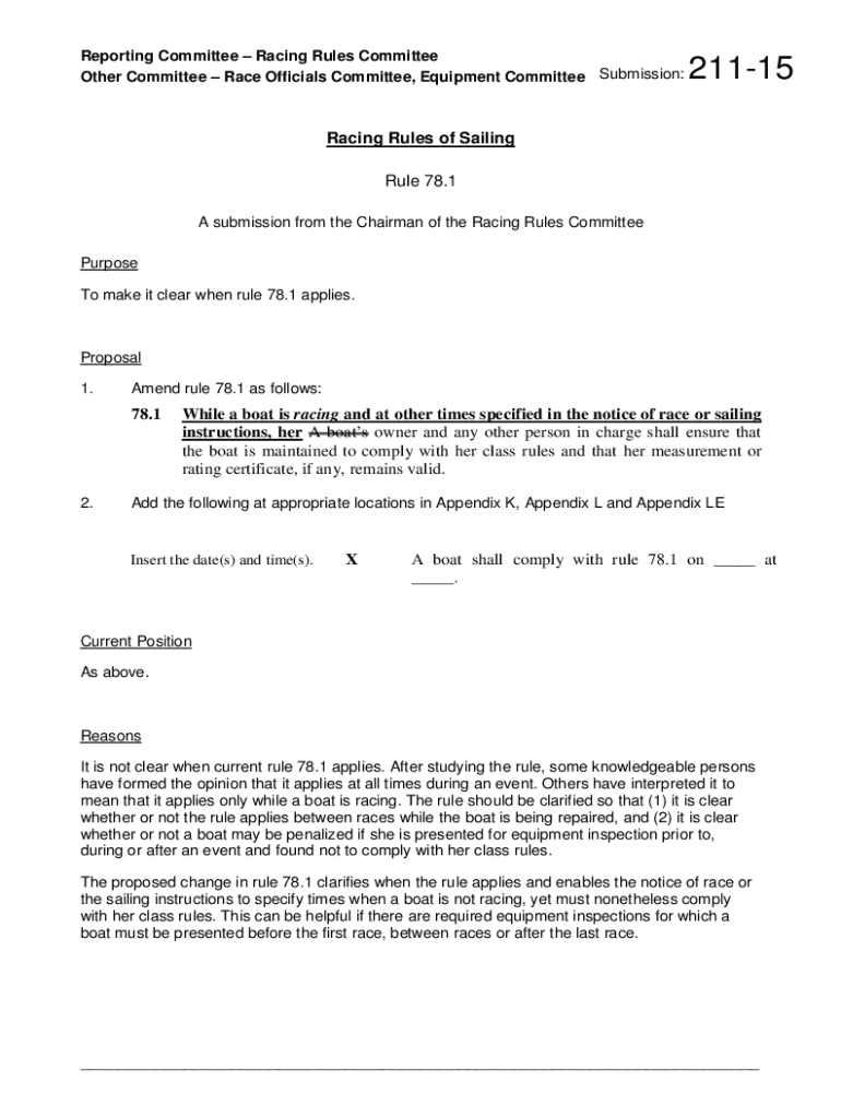
Reporting Committee Racing Rules Committee Other Committee Race Officials Committee, Equipment Committee Submission:21115Racing Rules of Sailing Rule 78.1 A submission from the Chairman of the Racing Rules Committee Purpose To make it clear when rule 78.1 applies.Proposal 1.Amend rule 78.1 as follows:78.12.While a boat is racing and at other times specified in the notice of race or sailing instructions, her A boats owner and any other person in charge shall ensure that the
We are not affiliated with any brand or entity on this form
Get, Create, Make and Sign reporting committee racing rules
Edit your reporting committee racing rules form online
Type text, complete fillable fields, insert images, highlight or blackout data for discretion, add comments, and more.
Add your legally-binding signature
Draw or type your signature, upload a signature image, or capture it with your digital camera.
Share your form instantly
Email, fax, or share your reporting committee racing rules form via URL. You can also download, print, or export forms to your preferred cloud storage service.
How to edit reporting committee racing rules online
Follow the steps down below to benefit from the PDF editor's expertise:
1
Log in. Click Start Free Trial and create a profile if necessary.
2
Upload a file. Select Add New on your Dashboard and upload a file from your device or import it from the cloud, online, or internal mail. Then click Edit.
3
Edit reporting committee racing rules. Rearrange and rotate pages, insert new and alter existing texts, add new objects, and take advantage of other helpful tools. Click Done to apply changes and return to your Dashboard. Go to the Documents tab to access merging, splitting, locking, or unlocking functions.
4
Get your file. When you find your file in the docs list, click on its name and choose how you want to save it. To get the PDF, you can save it, send an email with it, or move it to the cloud.
Dealing with documents is always simple with pdfFiller. Try it right now
Uncompromising security for your PDF editing and eSignature needs
Your private information is safe with pdfFiller. We employ end-to-end encryption, secure cloud storage, and advanced access control to protect your documents and maintain regulatory compliance.
How to fill out reporting committee racing rules
How to fill out reporting committee racing rules
01
Obtain a copy of the reporting committee racing rules from the official governing body.
02
Read through the rules carefully to understand the requirements and procedures.
03
Gather all necessary information regarding the race, including the date, location, and participating teams.
04
Fill out the required sections of the report, including details about any incidents or objections.
05
Ensure that all evidence, such as witness statements or photographs, is documented in the report.
06
Review the completed report for accuracy and completeness.
07
Submit the report to the appropriate authority within the specified timeframe.
Who needs reporting committee racing rules?
01
Race committee members who are responsible for overseeing the event.
02
Competitors and teams who need to understand the rules and procedures for reporting.
03
Officials and judges who review and enforce the racing rules.
04
Governing bodies that require reports for compliance and regulatory purposes.
Fill
form
: Try Risk Free
For pdfFiller’s FAQs
Below is a list of the most common customer questions. If you can’t find an answer to your question, please don’t hesitate to reach out to us.
How do I execute reporting committee racing rules online?
pdfFiller has made it easy to fill out and sign reporting committee racing rules. You can use the solution to change and move PDF content, add fields that can be filled in, and sign the document electronically. Start a free trial of pdfFiller, the best tool for editing and filling in documents.
How do I make edits in reporting committee racing rules without leaving Chrome?
Download and install the pdfFiller Google Chrome Extension to your browser to edit, fill out, and eSign your reporting committee racing rules, which you can open in the editor with a single click from a Google search page. Fillable documents may be executed from any internet-connected device without leaving Chrome.
How do I fill out reporting committee racing rules on an Android device?
Complete your reporting committee racing rules and other papers on your Android device by using the pdfFiller mobile app. The program includes all of the necessary document management tools, such as editing content, eSigning, annotating, sharing files, and so on. You will be able to view your papers at any time as long as you have an internet connection.
What is reporting committee racing rules?
Reporting committee racing rules are regulations that govern the procedures and responsibilities of committees overseeing racing events, ensuring fair play and adherence to established guidelines.
Who is required to file reporting committee racing rules?
Individuals or organizations that are part of the racing committee, including race officials, event organizers, and affiliated stakeholders, are required to file reporting committee racing rules.
How to fill out reporting committee racing rules?
To fill out reporting committee racing rules, one should accurately complete the designated forms provided by the governing body, detailing the event particulars, rule violations, and any other relevant information.
What is the purpose of reporting committee racing rules?
The purpose of reporting committee racing rules is to establish accountability, ensure compliance with racing regulations, and promote transparency in the administration of racing events.
What information must be reported on reporting committee racing rules?
Information that must be reported includes details of the event, any incidents or rule violations, actions taken by the committee, and any recommendations for future improvements or disciplinary actions.
Fill out your reporting committee racing rules online with pdfFiller!
pdfFiller is an end-to-end solution for managing, creating, and editing documents and forms in the cloud. Save time and hassle by preparing your tax forms online.
Reporting Committee Racing Rules is not the form you're looking for?Search for another form here.
Relevant keywords
Related Forms
If you believe that this page should be taken down, please follow our DMCA take down process
here
.
This form may include fields for payment information. Data entered in these fields is not covered by PCI DSS compliance.