Get the free ASSEMBLY BILL 60 (R2)
Show details
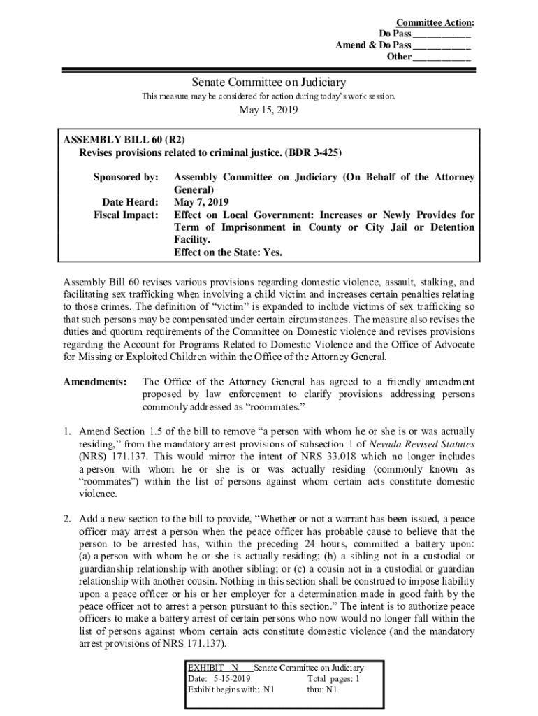
Committee Action: Do Pass ___ Amend & Do Pass ___ Other ___Senate Committee on Judiciary This measure may be considered for action during todays work session.May 15, 2019 ASSEMBLY BILL 60 (R2) Revises
We are not affiliated with any brand or entity on this form
Get, Create, Make and Sign assembly bill 60 r2
Edit your assembly bill 60 r2 form online
Type text, complete fillable fields, insert images, highlight or blackout data for discretion, add comments, and more.
Add your legally-binding signature
Draw or type your signature, upload a signature image, or capture it with your digital camera.
Share your form instantly
Email, fax, or share your assembly bill 60 r2 form via URL. You can also download, print, or export forms to your preferred cloud storage service.
Editing assembly bill 60 r2 online
Follow the guidelines below to benefit from a competent PDF editor:
1
Register the account. Begin by clicking Start Free Trial and create a profile if you are a new user.
2
Upload a document. Select Add New on your Dashboard and transfer a file into the system in one of the following ways: by uploading it from your device or importing from the cloud, web, or internal mail. Then, click Start editing.
3
Edit assembly bill 60 r2. Rearrange and rotate pages, add new and changed texts, add new objects, and use other useful tools. When you're done, click Done. You can use the Documents tab to merge, split, lock, or unlock your files.
4
Save your file. Choose it from the list of records. Then, shift the pointer to the right toolbar and select one of the several exporting methods: save it in multiple formats, download it as a PDF, email it, or save it to the cloud.
pdfFiller makes working with documents easier than you could ever imagine. Register for an account and see for yourself!
Uncompromising security for your PDF editing and eSignature needs
Your private information is safe with pdfFiller. We employ end-to-end encryption, secure cloud storage, and advanced access control to protect your documents and maintain regulatory compliance.
How to fill out assembly bill 60 r2
How to fill out assembly bill 60 r2
01
Obtain the Assembly Bill 60 R2 form from the official website or relevant authority.
02
Read the instructions carefully to understand the purpose of the form.
03
Fill out the personal information section, including your name, address, and contact details.
04
Provide any required identification numbers, such as a Social Security Number or driver's license information.
05
Complete the sections related to your eligibility and the reasons for filing the assembly bill.
06
Review the form for any errors or omissions before submitting.
07
Submit the form by mail or in person as instructed on the form.
Who needs assembly bill 60 r2?
01
Individuals seeking to apply for or adjust their eligibility under Assembly Bill 60.
02
Residents of California who require a driver's license or identification under the provisions of Assembly Bill 60.
03
Those who do not have a Social Security Number but need to comply with state identification requirements.
Fill
form
: Try Risk Free
For pdfFiller’s FAQs
Below is a list of the most common customer questions. If you can’t find an answer to your question, please don’t hesitate to reach out to us.
How can I send assembly bill 60 r2 for eSignature?
When you're ready to share your assembly bill 60 r2, you can send it to other people and get the eSigned document back just as quickly. Share your PDF by email, fax, text message, or USPS mail. You can also notarize your PDF on the web. You don't have to leave your account to do this.
Can I create an eSignature for the assembly bill 60 r2 in Gmail?
With pdfFiller's add-on, you may upload, type, or draw a signature in Gmail. You can eSign your assembly bill 60 r2 and other papers directly in your mailbox with pdfFiller. To preserve signed papers and your personal signatures, create an account.
How do I fill out assembly bill 60 r2 using my mobile device?
You can quickly make and fill out legal forms with the help of the pdfFiller app on your phone. Complete and sign assembly bill 60 r2 and other documents on your mobile device using the application. If you want to learn more about how the PDF editor works, go to pdfFiller.com.
What is assembly bill 60 r2?
Assembly Bill 60 R2 is a piece of legislation related to the issuance of driver's licenses and identification cards in the state of California, allowing individuals who may not have legal immigration status to apply for these documents.
Who is required to file assembly bill 60 r2?
Individuals who are applying for a driver's license or identification card under the provisions established by Assembly Bill 60 R2 must file this form.
How to fill out assembly bill 60 r2?
To fill out Assembly Bill 60 R2, applicants should provide personal information such as their name, address, date of birth, and proof of identity, while ensuring all sections of the form are completed accurately.
What is the purpose of assembly bill 60 r2?
The purpose of Assembly Bill 60 R2 is to expand access to driver's licenses for undocumented immigrants, promoting safer roads by allowing more drivers to be properly licensed and trained.
What information must be reported on assembly bill 60 r2?
The information that must be reported on Assembly Bill 60 R2 includes the applicant's name, date of birth, address, identity verification documents, and any applicable residency information.
Fill out your assembly bill 60 r2 online with pdfFiller!
pdfFiller is an end-to-end solution for managing, creating, and editing documents and forms in the cloud. Save time and hassle by preparing your tax forms online.
Assembly Bill 60 r2 is not the form you're looking for?Search for another form here.
Relevant keywords
Related Forms
If you believe that this page should be taken down, please follow our DMCA take down process
here
.
This form may include fields for payment information. Data entered in these fields is not covered by PCI DSS compliance.