
Get the free Firearm Reporting Team
Show details
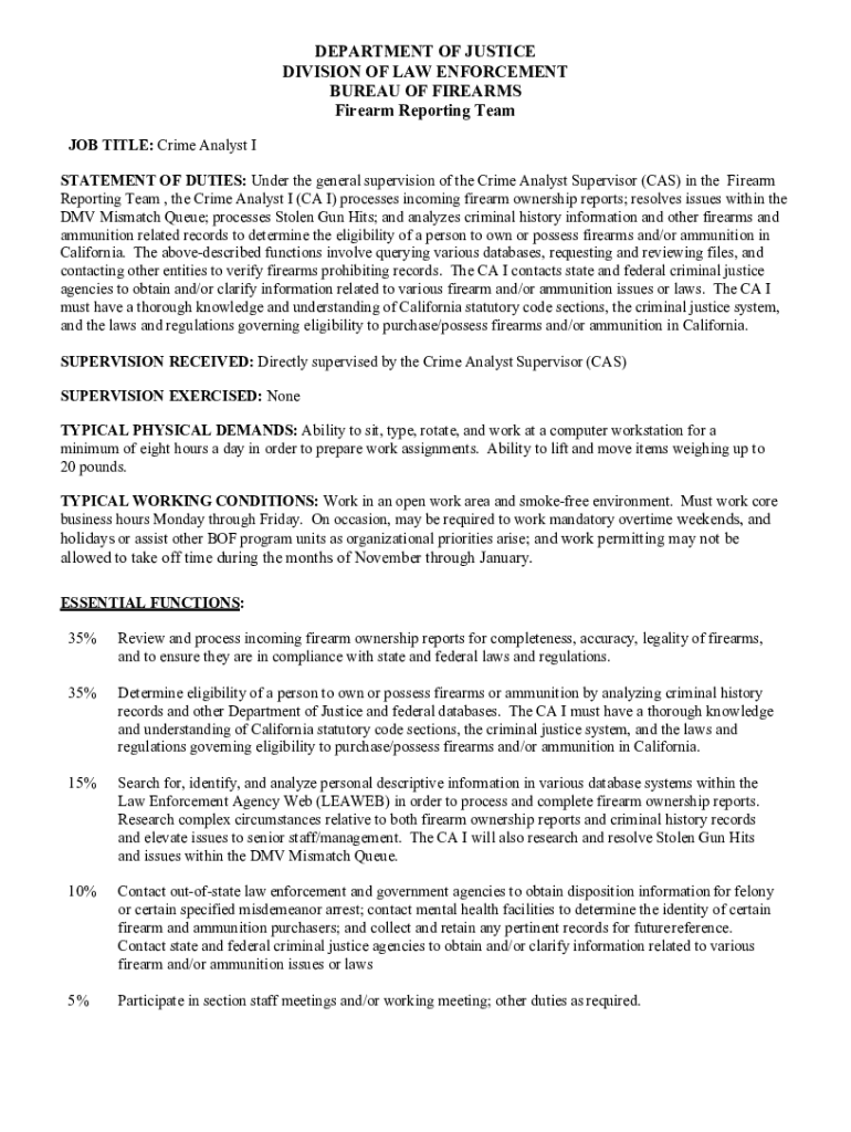
DEPARTMENT OF JUSTICE DIVISION OF LAW ENFORCEMENT BUREAU OF FIREARMS Firearm Reporting Team JOB TITLE: Crime Analyst I STATEMENT OF DUTIES: Under the general supervision of the Crime Analyst Supervisor
We are not affiliated with any brand or entity on this form
Get, Create, Make and Sign firearm reporting team

Edit your firearm reporting team form online
Type text, complete fillable fields, insert images, highlight or blackout data for discretion, add comments, and more.

Add your legally-binding signature
Draw or type your signature, upload a signature image, or capture it with your digital camera.

Share your form instantly
Email, fax, or share your firearm reporting team form via URL. You can also download, print, or export forms to your preferred cloud storage service.
How to edit firearm reporting team online
To use our professional PDF editor, follow these steps:
1
Create an account. Begin by choosing Start Free Trial and, if you are a new user, establish a profile.
2
Prepare a file. Use the Add New button. Then upload your file to the system from your device, importing it from internal mail, the cloud, or by adding its URL.
3
Edit firearm reporting team. Add and change text, add new objects, move pages, add watermarks and page numbers, and more. Then click Done when you're done editing and go to the Documents tab to merge or split the file. If you want to lock or unlock the file, click the lock or unlock button.
4
Get your file. Select the name of your file in the docs list and choose your preferred exporting method. You can download it as a PDF, save it in another format, send it by email, or transfer it to the cloud.
Uncompromising security for your PDF editing and eSignature needs
Your private information is safe with pdfFiller. We employ end-to-end encryption, secure cloud storage, and advanced access control to protect your documents and maintain regulatory compliance.
How to fill out firearm reporting team

How to fill out firearm reporting team
01
Gather all required information about the firearm and incident.
02
Access the firearm reporting team form or online portal.
03
Fill in the personal details of the individual reporting the firearm.
04
Provide accurate details of the firearm, including make, model, and serial number.
05
Describe the circumstances surrounding the firearm incident clearly and concisely.
06
Attach any relevant documents or evidence that may support the report.
07
Review the completed form for accuracy and completeness.
08
Submit the form via the designated method (online submission, in-person delivery, etc.).
Who needs firearm reporting team?
01
Law enforcement agencies for tracking and managing firearms.
02
Gun owners needing to report lost or stolen firearms.
03
Community members involved in firearm incidents or witnessing them.
04
Regulatory bodies overseeing firearm control and safety measures.
Fill
form
: Try Risk Free
For pdfFiller’s FAQs
Below is a list of the most common customer questions. If you can’t find an answer to your question, please don’t hesitate to reach out to us.
How do I edit firearm reporting team straight from my smartphone?
The pdfFiller mobile applications for iOS and Android are the easiest way to edit documents on the go. You may get them from the Apple Store and Google Play. More info about the applications here. Install and log in to edit firearm reporting team.
How do I edit firearm reporting team on an iOS device?
You certainly can. You can quickly edit, distribute, and sign firearm reporting team on your iOS device with the pdfFiller mobile app. Purchase it from the Apple Store and install it in seconds. The program is free, but in order to purchase a subscription or activate a free trial, you must first establish an account.
How do I complete firearm reporting team on an iOS device?
Get and install the pdfFiller application for iOS. Next, open the app and log in or create an account to get access to all of the solution’s editing features. To open your firearm reporting team, upload it from your device or cloud storage, or enter the document URL. After you complete all of the required fields within the document and eSign it (if that is needed), you can save it or share it with others.
What is firearm reporting team?
A firearm reporting team is a designated group responsible for tracking, documenting, and reporting data related to firearms usage, ownership, and incidents within a specific jurisdiction.
Who is required to file firearm reporting team?
Entities such as law enforcement agencies, licensed firearms dealers, and individuals or organizations involved in firearms manufacture or sales are typically required to report to the firearm reporting team.
How to fill out firearm reporting team?
To fill out a firearm reporting team, one must complete the required forms accurately, providing necessary details regarding the firearms involved, such as serial numbers, descriptions, and any relevant incident information.
What is the purpose of firearm reporting team?
The purpose of a firearm reporting team is to enhance public safety, facilitate crime investigation, and ensure compliance with firearms regulations by maintaining an accurate record of firearms data.
What information must be reported on firearm reporting team?
Information that must be reported includes firearm type, model, serial number, ownership details, and any incidents of theft, loss, or illegal use related to the firearm.
Fill out your firearm reporting team online with pdfFiller!
pdfFiller is an end-to-end solution for managing, creating, and editing documents and forms in the cloud. Save time and hassle by preparing your tax forms online.

Firearm Reporting Team is not the form you're looking for?Search for another form here.
Relevant keywords
Related Forms
If you believe that this page should be taken down, please follow our DMCA take down process
here
.
This form may include fields for payment information. Data entered in these fields is not covered by PCI DSS compliance.