Form preview

Get the free Advertising Agency Agreement template

Get Form
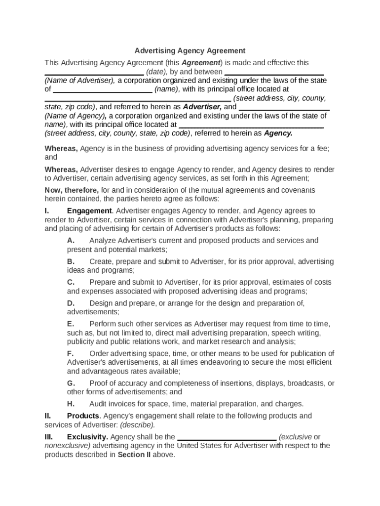
An Advertising Agency Agreement is a legal document that defines the relationship between an advertiser and its advertising agency. An advertiser is a person or company that places advertisements
We are not affiliated with any brand or entity on this form
Illustration
Fill out
Complete the form online in a simple drag-and-drop editor.
Illustration
eSign
Add your legally binding signature or send the form for signing.
Illustration
Share
Share the form via a link, letting anyone fill it out from any device.
Illustration
Export
Download, print, email, or move the form to your cloud storage.

Why choose pdfFiller for your legal forms?

GDPR
AICPA SOC 2
PCI
HIPAA
CCPA
FDA

All-in-one solution

pdfFiller offers a PDF editor, eSignatures, file sharing, collaboration tools, and secure storage—all in one place.

Easy to use

pdfFiller is simple, cloud-based, has a mobile app, and requires no downloads or a steep learning curve.

Secure and compliant

With encryption, user authentication, and certifications like HIPAA, SOC 2 Type II, and PCI DSS, pdfFiller keeps sensitive legal forms secure.
Form preview

What is advertising agency agreement

An advertising agency agreement is a contract outlining the terms and conditions between a client and an advertising agency regarding services provided for advertising campaigns.

pdfFiller scores top ratings on review platforms

Users Most Likely To Recommend - Summer 2025
Grid Leader in Small-Business - Summer 2025
High Performer - Summer 2025
Regional Leader - Summer 2025
It would be better if I could print directly from pdf filler to my printer group.
Bill H
I have really been amazed on how helpful this program is. It has made my work load go much more effectively.
Shannon
This is cool. It produces professional quality forms. It is an edge up!
Steve E
Just starting to get acquainted with it, but so far, I like it.
Chuck S
Wonderful product! PDFfiller been very useful for me in my work and personal life. Very user friendly and little instruction required.
Kara Q
I absolutely love it, it's fast its easy and Im going to purchase a few of the tools you offer as well it's very cool. Thank you...
L Collins
Show more Show less
Fill fillable advertising agency agreement template form: Try Risk Free
Rate free advertising agency agreement template form
4.5
satisfied
27 votes

Who needs advertising agency agreement template?

Explore how professionals across industries use pdfFiller.
Picture
Advertising agency agreement template is needed by:
  • Businesses looking to enhance their marketing efforts.
  • Freelancers or independent contractors working with advertising firms.
  • Marketing managers requiring clear service terms.
  • Startups seeking professional advertising support.
  • Non-profits needing promotional services.

Comprehensive guide to advertising agency agreement forms

When entering into a business relationship with an advertising agency, it’s crucial to establish clear terms through an advertising agency agreement form. This guide will illustrate how to create, fill out, and manage this essential document effectively.

What is an advertising agency agreement?

An advertising agency agreement is a formal contract between an advertiser and an advertising agency outlining the services provided and the expectations for both parties. This contract serves to protect both sides by detailing responsibilities, deadlines, and compensation terms, thus emphasizing the importance of having a well-structured agreement in the advertising industry.
  • It’s a legally binding document that clarifies the services an agency will provide to an advertiser.
  • Having a written agreement reduces misunderstandings and helps ensure accountability.
  • Essential elements include the scope of work, payment terms, and confidentiality clauses.

How should an advertising agency agreement be structured?

Understanding the structure of an advertising agency agreement is critical for successful collaboration. Below are the key sections that should be included.
  • This section identifies the advertiser and the agency, including their legal entity details and principal business addresses.
  • A detailed description of all services to be provided, including examples like market analysis and media buying.
  • Clarifies the payment structures, timing, and methods to ensure both parties understand the financial aspect.
  • Specifies the duration of the contract, including renewal or termination conditions.
  • Defines who holds rights to materials created and terms of usage post-agreement.
  • Outlines the protections necessary for sensitive information shared between the parties.
  • Details the criteria under which either party can dissolve the agreement.
  • Indicates the legal jurisdiction that will apply in case of disputes.
  • Defines the full scope of what constitutes the agreement, ensuring all terms are captured.

How can you effectively fill out your advertising agency agreement?

Filling out an advertising agency agreement can feel daunting, but following a structured approach can ease the process. Here are steps to ensure accuracy.
  • Tackle each section one at a time, ensuring you understand each part before moving on.
  • Double-check details such as names and contract dates to prevent errors that could complicate matters later.
  • Tools like pdfFiller streamline editing, signing, and sharing documents seamlessly.

How can you manage your agreement with pdfFiller?

Once your advertising agency agreement is filled out, managing it properly is essential for ongoing collaboration. Advantages of using pdfFiller include efficient document management.
  • With pdfFiller, you can save your forms in the cloud, allowing easy access and revisions when necessary.
  • Access your documents from anywhere, enhancing productivity for teams working remotely.
  • Sign with confidence knowing that the process is legally valid and secure, ensuring client trust.

What are the compliance and best practices for advertising agreements?

Compliance with local laws is crucial when creating advertising agency agreements. Understanding legal implications can save your business from potential disputes.
  • Ensure your agreement complies with laws relevant to the advertising industry in your region.
  • Different regions may have unique practices; consult with a legal expert to avoid pitfalls.
  • Utilize tools like pdfFiller for document revision and compliance checking easily.

How to fill out the advertising agency agreement template

  1. 1.
    Begin by opening the advertising agency agreement template on pdfFiller.
  2. 2.
    Fill in the date at the top of the document to indicate when the agreement is entered.
  3. 3.
    Specify the names and addresses of both parties: the client and the advertising agency.
  4. 4.
    Detail the scope of services to be provided by the agency, including specific advertising requirements.
  5. 5.
    Set the duration of the agreement, indicating the start and end dates of the engagement.
  6. 6.
    Outline the payment terms, including the total fee, payment schedule, and any additional costs.
  7. 7.
    Include clauses related to confidentiality, intellectual property rights, and termination terms.
  8. 8.
    Review the document for accuracy, ensuring all information is correct and complete.
  9. 9.
    Once finalized, both parties should sign the agreement, either electronically via pdfFiller or by printing and signing physically.
Regular content decoration
If you believe that this page should be taken down, please follow our DMCA take down process here .
This form may include fields for payment information. Data entered in these fields is not covered by PCI DSS compliance.