Form preview

Get the free Exclusive Software License and Royalty Agreement template

Get Form
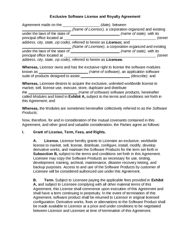
This form is an exclusive software license and royalty agreement.
We are not affiliated with any brand or entity on this form

Why choose pdfFiller for your legal forms?

GDPR
AICPA SOC 2
PCI
HIPAA
CCPA
FDA

All-in-one solution

pdfFiller offers a PDF editor, eSignatures, file sharing, collaboration tools, and secure storage—all in one place.

Easy to use

pdfFiller is simple, cloud-based, has a mobile app, and requires no downloads or a steep learning curve.

Secure and compliant

With encryption, user authentication, and certifications like HIPAA, SOC 2 Type II, and PCI DSS, pdfFiller keeps sensitive legal forms secure.
Form preview

What is exclusive software license and

An exclusive software license is a legal agreement granting one party the sole rights to use, modify, and distribute a specific software, excluding others from exercising those rights.

pdfFiller scores top ratings on review platforms

Users Most Likely To Recommend - Summer 2025
Grid Leader in Small-Business - Summer 2025
High Performer - Summer 2025
Regional Leader - Summer 2025
you saved me from hours of frustration
sharon M S
Works well
Robert R
so far very simple, only wish duplicate forms would auto fill instead of having to retype
shannon
none
jeffg
so far are very good...
Ricardo Antonio P
PRINTING ISSUES
Edward D
Show more Show less
Fill fillable exclusive software license and form: Try Risk Free
Rate free exclusive software license and form
4.8
satisfied
27 votes

Who needs exclusive software license and?

Explore how professionals across industries use pdfFiller.
Picture
Exclusive software license and is needed by:
  • Software developers seeking to protect their intellectual property.
  • Businesses wanting to ensure unique usage rights for specific software.
  • Investors interested in obtaining exclusive use of software for competitive advantage.
  • Companies requiring compliance with legal software usage agreements.

How to fill out the exclusive software license and

  1. 1.
    Open the PDF file of the exclusive software license on pdfFiller.
  2. 2.
    Begin by entering the date of the agreement at the top of the document.
  3. 3.
    Fill in the names and addresses of both parties involved: the licensor and the licensee.
  4. 4.
    Specify the software title and version number clearly in the designated section.
  5. 5.
    Outline the specific rights granted to the licensee, such as use, modification, and distribution.
  6. 6.
    Detail the duration of the license agreement, including any renewal conditions if applicable.
  7. 7.
    Include any payment terms, making sure to specify the amount and payment schedule.
  8. 8.
    Review the terms and conditions carefully to ensure all details are correct and mutually agreed upon.
  9. 9.
    Have both parties sign and date the document in the signature sections provided.
  10. 10.
    Save the completed document and share it with all relevant parties for their records.
Regular content decoration
If you believe that this page should be taken down, please follow our DMCA take down process here .
This form may include fields for payment information. Data entered in these fields is not covered by PCI DSS compliance.