
Get the free Agr Vacancy Announcement 25-011 - mil wa
Show details
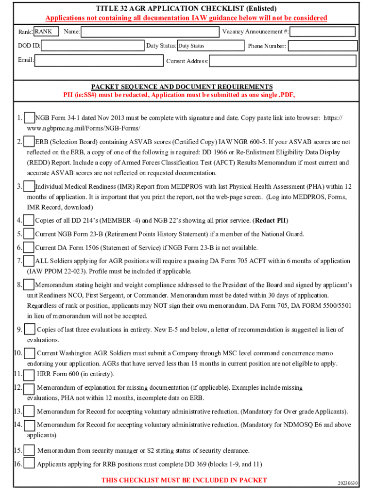
This announcement outlines the job vacancy for the CBRN NCO (74D) position with the Washington Army National Guard. It includes details on opening and closing dates, minimum qualifications, desired
We are not affiliated with any brand or entity on this form
Get, Create, Make and Sign agr vacancy announcement 25-011

Edit your agr vacancy announcement 25-011 form online
Type text, complete fillable fields, insert images, highlight or blackout data for discretion, add comments, and more.

Add your legally-binding signature
Draw or type your signature, upload a signature image, or capture it with your digital camera.

Share your form instantly
Email, fax, or share your agr vacancy announcement 25-011 form via URL. You can also download, print, or export forms to your preferred cloud storage service.
Editing agr vacancy announcement 25-011 online
Here are the steps you need to follow to get started with our professional PDF editor:
1
Register the account. Begin by clicking Start Free Trial and create a profile if you are a new user.
2
Prepare a file. Use the Add New button to start a new project. Then, using your device, upload your file to the system by importing it from internal mail, the cloud, or adding its URL.
3
Edit agr vacancy announcement 25-011. Rearrange and rotate pages, add and edit text, and use additional tools. To save changes and return to your Dashboard, click Done. The Documents tab allows you to merge, divide, lock, or unlock files.
4
Save your file. Select it from your list of records. Then, move your cursor to the right toolbar and choose one of the exporting options. You can save it in multiple formats, download it as a PDF, send it by email, or store it in the cloud, among other things.
pdfFiller makes dealing with documents a breeze. Create an account to find out!
Uncompromising security for your PDF editing and eSignature needs
Your private information is safe with pdfFiller. We employ end-to-end encryption, secure cloud storage, and advanced access control to protect your documents and maintain regulatory compliance.
How to fill out agr vacancy announcement 25-011

How to fill out agr vacancy announcement 25-011
01
Start by gathering all necessary personal information including your name, contact details, and social security number.
02
Review the job requirements and qualifications outlined in the agr vacancy announcement 25-011 to ensure you meet the criteria.
03
Fill out the application form carefully, providing accurate and truthful responses.
04
Attach any required documents such as your resume, cover letter, and transcripts as specified in the announcement.
05
Double-check your application for any errors or missing information before submitting.
06
Submit your application through the designated channel (online portal, email, etc.) as indicated in the vacancy announcement.
Who needs agr vacancy announcement 25-011?
01
Individuals seeking employment in the agricultural sector.
02
Qualified applicants looking to fulfill specific job roles as advertised in the vacancy announcement.
03
Employers or agencies responsible for filling agricultural positions.
Fill
form
: Try Risk Free
For pdfFiller’s FAQs
Below is a list of the most common customer questions. If you can’t find an answer to your question, please don’t hesitate to reach out to us.
How do I edit agr vacancy announcement 25-011 online?
pdfFiller allows you to edit not only the content of your files, but also the quantity and sequence of the pages. Upload your agr vacancy announcement 25-011 to the editor and make adjustments in a matter of seconds. Text in PDFs may be blacked out, typed in, and erased using the editor. You may also include photos, sticky notes, and text boxes, among other things.
Can I create an eSignature for the agr vacancy announcement 25-011 in Gmail?
It's easy to make your eSignature with pdfFiller, and then you can sign your agr vacancy announcement 25-011 right from your Gmail inbox with the help of pdfFiller's add-on for Gmail. This is a very important point: You must sign up for an account so that you can save your signatures and signed documents.
Can I edit agr vacancy announcement 25-011 on an iOS device?
Use the pdfFiller mobile app to create, edit, and share agr vacancy announcement 25-011 from your iOS device. Install it from the Apple Store in seconds. You can benefit from a free trial and choose a subscription that suits your needs.
What is agr vacancy announcement 25-011?
AGR Vacancy Announcement 25-011 refers to a specific job opening or recruitment notice within the Active Guard Reserve program, detailing positions available for qualified personnel.
Who is required to file agr vacancy announcement 25-011?
Individuals eligible to apply for AGR positions, typically military personnel who meet certain qualifications and are looking for a full-time position within the National Guard or Reserve components.
How to fill out agr vacancy announcement 25-011?
To fill out the AGR Vacancy Announcement 25-011, applicants should carefully read the announcement, complete all required sections accurately, and provide necessary documentation as specified in the announcement.
What is the purpose of agr vacancy announcement 25-011?
The purpose of AGR Vacancy Announcement 25-011 is to inform potential candidates about available positions, outline the qualifications needed, and provide instructions for application.
What information must be reported on agr vacancy announcement 25-011?
The announcement must include the position title, qualifications required, application procedures, deadlines, and contact information for inquiries.
Fill out your agr vacancy announcement 25-011 online with pdfFiller!
pdfFiller is an end-to-end solution for managing, creating, and editing documents and forms in the cloud. Save time and hassle by preparing your tax forms online.

Agr Vacancy Announcement 25-011 is not the form you're looking for?Search for another form here.
Relevant keywords
Related Forms
If you believe that this page should be taken down, please follow our DMCA take down process
here
.
This form may include fields for payment information. Data entered in these fields is not covered by PCI DSS compliance.