
Get the free Cms-2567
Show details
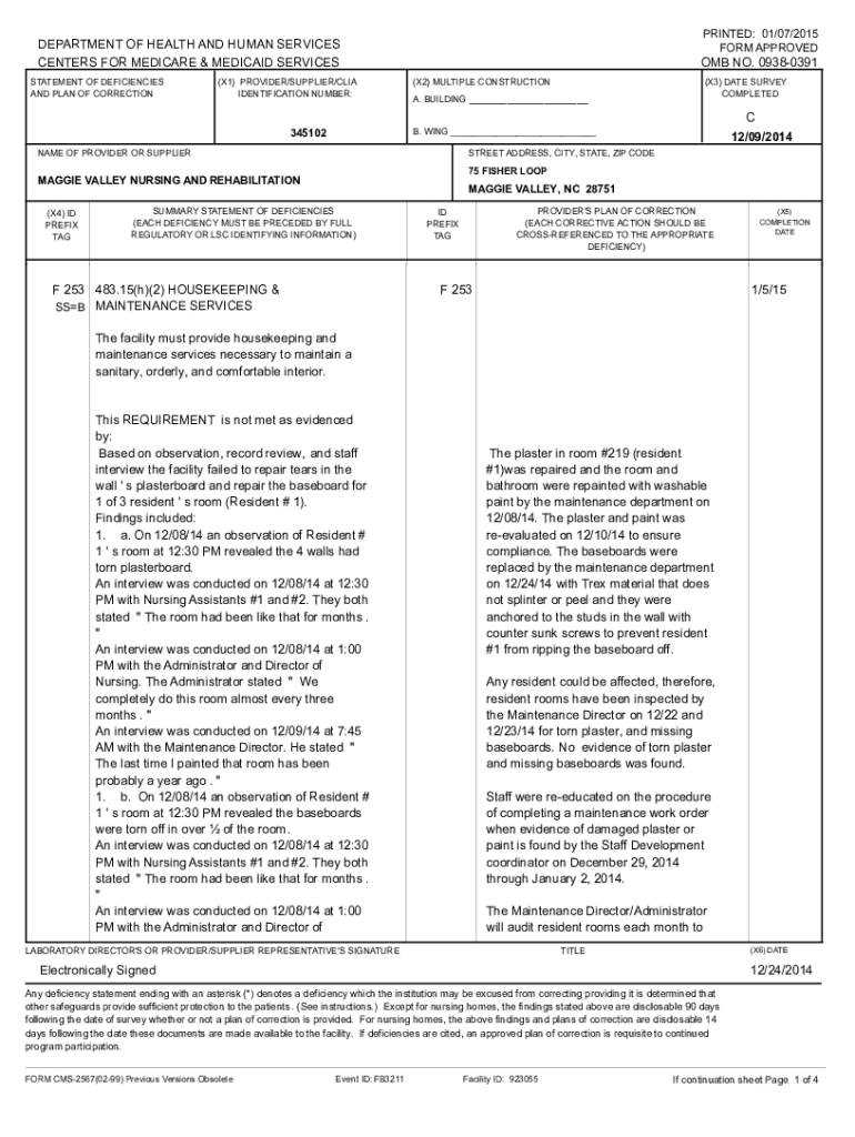
This document outlines the deficiencies identified in the facility along with the provider\'s plan of correction to address each deficiency. It includes observations, interviews, and corrective actions
We are not affiliated with any brand or entity on this form
Get, Create, Make and Sign cms-2567

Edit your cms-2567 form online
Type text, complete fillable fields, insert images, highlight or blackout data for discretion, add comments, and more.

Add your legally-binding signature
Draw or type your signature, upload a signature image, or capture it with your digital camera.

Share your form instantly
Email, fax, or share your cms-2567 form via URL. You can also download, print, or export forms to your preferred cloud storage service.
Editing cms-2567 online
To use our professional PDF editor, follow these steps:
1
Set up an account. If you are a new user, click Start Free Trial and establish a profile.
2
Prepare a file. Use the Add New button. Then upload your file to the system from your device, importing it from internal mail, the cloud, or by adding its URL.
3
Edit cms-2567. Rearrange and rotate pages, add new and changed texts, add new objects, and use other useful tools. When you're done, click Done. You can use the Documents tab to merge, split, lock, or unlock your files.
4
Save your file. Choose it from the list of records. Then, shift the pointer to the right toolbar and select one of the several exporting methods: save it in multiple formats, download it as a PDF, email it, or save it to the cloud.
With pdfFiller, it's always easy to work with documents. Check it out!
Uncompromising security for your PDF editing and eSignature needs
Your private information is safe with pdfFiller. We employ end-to-end encryption, secure cloud storage, and advanced access control to protect your documents and maintain regulatory compliance.
How to fill out cms-2567

How to fill out cms-2567
01
Gather necessary information about the facility, including name, address, and contact details.
02
Identify and document the deficiencies observed during the survey.
03
Categorize each deficiency according to the appropriate tag number from the CMS standards.
04
Describe the specific circumstances or examples related to each deficiency.
05
Provide a timeline for the correction of each deficiency.
06
Ensure that the form is signed and dated by the individual completing it.
Who needs cms-2567?
01
CMS-2567 is needed by healthcare facilities that are surveyed by the Centers for Medicare & Medicaid Services (CMS) to document deficiencies.
02
It is required for facilities seeking or maintaining certification for participation in Medicare and Medicaid programs.
Fill
form
: Try Risk Free
For pdfFiller’s FAQs
Below is a list of the most common customer questions. If you can’t find an answer to your question, please don’t hesitate to reach out to us.
How do I complete cms-2567 online?
pdfFiller has made it easy to fill out and sign cms-2567. You can use the solution to change and move PDF content, add fields that can be filled in, and sign the document electronically. Start a free trial of pdfFiller, the best tool for editing and filling in documents.
Can I create an electronic signature for the cms-2567 in Chrome?
You can. With pdfFiller, you get a strong e-signature solution built right into your Chrome browser. Using our addon, you may produce a legally enforceable eSignature by typing, sketching, or photographing it. Choose your preferred method and eSign in minutes.
How do I complete cms-2567 on an Android device?
On an Android device, use the pdfFiller mobile app to finish your cms-2567. The program allows you to execute all necessary document management operations, such as adding, editing, and removing text, signing, annotating, and more. You only need a smartphone and an internet connection.
What is cms-2567?
CMS-2567 is a form used by healthcare facilities to report deficiencies found during inspections or surveys conducted by the Centers for Medicare & Medicaid Services (CMS).
Who is required to file cms-2567?
Healthcare facilities that participate in Medicare and Medicaid programs are required to file CMS-2567 when deficiencies are identified during inspections.
How to fill out cms-2567?
To fill out CMS-2567, facilities must report specific deficiencies identified during surveys, including a description of the deficiency, relevant regulations, and any related evidence.
What is the purpose of cms-2567?
The purpose of CMS-2567 is to formally document deficiencies in healthcare facilities to ensure compliance with federal regulations and improve the quality of care.
What information must be reported on cms-2567?
CMS-2567 must report information including the details of the deficiencies, the corresponding regulations, the facility's name, and the date of the survey.
Fill out your cms-2567 online with pdfFiller!
pdfFiller is an end-to-end solution for managing, creating, and editing documents and forms in the cloud. Save time and hassle by preparing your tax forms online.

Cms-2567 is not the form you're looking for?Search for another form here.
Relevant keywords
Related Forms
If you believe that this page should be taken down, please follow our DMCA take down process
here
.
This form may include fields for payment information. Data entered in these fields is not covered by PCI DSS compliance.