Get the free Nursing Officer Recruitment Common Eligibility Test (norcet) 8
Show details
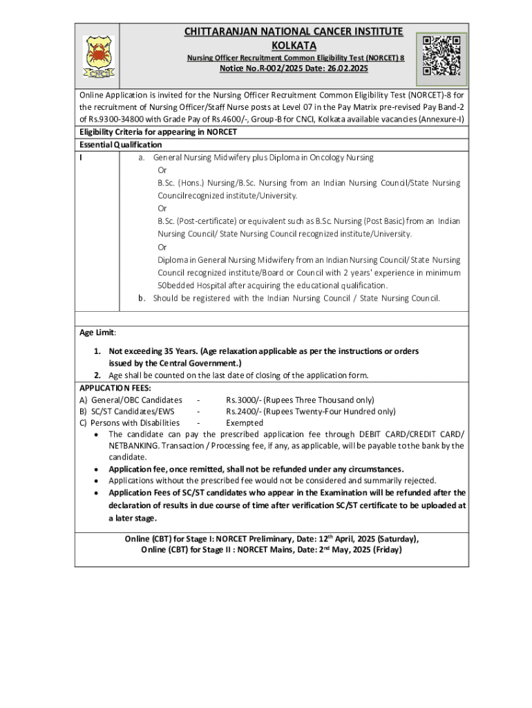
Notice inviting online applications for the Nursing Officer Recruitment Common Eligibility Test (NORCET)-8 for recruitment of Nursing Officer/Staff Nurse posts at Level 07 in the Pay Matrix, with
We are not affiliated with any brand or entity on this form
Get, Create, Make and Sign nursing officer recruitment common
Edit your nursing officer recruitment common form online
Type text, complete fillable fields, insert images, highlight or blackout data for discretion, add comments, and more.
Add your legally-binding signature
Draw or type your signature, upload a signature image, or capture it with your digital camera.
Share your form instantly
Email, fax, or share your nursing officer recruitment common form via URL. You can also download, print, or export forms to your preferred cloud storage service.
Editing nursing officer recruitment common online
To use the professional PDF editor, follow these steps:
1
Check your account. It's time to start your free trial.
2
Prepare a file. Use the Add New button. Then upload your file to the system from your device, importing it from internal mail, the cloud, or by adding its URL.
3
Edit nursing officer recruitment common. Replace text, adding objects, rearranging pages, and more. Then select the Documents tab to combine, divide, lock or unlock the file.
4
Save your file. Select it in the list of your records. Then, move the cursor to the right toolbar and choose one of the available exporting methods: save it in multiple formats, download it as a PDF, send it by email, or store it in the cloud.
It's easier to work with documents with pdfFiller than you can have believed. Sign up for a free account to view.
Uncompromising security for your PDF editing and eSignature needs
Your private information is safe with pdfFiller. We employ end-to-end encryption, secure cloud storage, and advanced access control to protect your documents and maintain regulatory compliance.
How to fill out nursing officer recruitment common
How to fill out nursing officer recruitment common
01
Visit the official nursing officer recruitment common website.
02
Download the application form and guidelines.
03
Fill out personal details such as name, address, and contact information.
04
Provide educational qualifications, including degrees and certifications.
05
Include relevant nursing experience and any licenses held.
06
Attach required documents, such as transcripts and identification.
07
Review the completed application for accuracy.
08
Submit the application by the designated deadline.
Who needs nursing officer recruitment common?
01
Individuals seeking employment as nursing officers.
02
Nursing graduates looking to enter the workforce.
03
Healthcare organizations needing qualified nursing staff.
04
Government agencies managing nursing registrations and recruitments.
Fill
form
: Try Risk Free
For pdfFiller’s FAQs
Below is a list of the most common customer questions. If you can’t find an answer to your question, please don’t hesitate to reach out to us.
How can I manage my nursing officer recruitment common directly from Gmail?
In your inbox, you may use pdfFiller's add-on for Gmail to generate, modify, fill out, and eSign your nursing officer recruitment common and any other papers you receive, all without leaving the program. Install pdfFiller for Gmail from the Google Workspace Marketplace by visiting this link. Take away the need for time-consuming procedures and handle your papers and eSignatures with ease.
Can I create an eSignature for the nursing officer recruitment common in Gmail?
You may quickly make your eSignature using pdfFiller and then eSign your nursing officer recruitment common right from your mailbox using pdfFiller's Gmail add-on. Please keep in mind that in order to preserve your signatures and signed papers, you must first create an account.
Can I edit nursing officer recruitment common on an iOS device?
Use the pdfFiller mobile app to create, edit, and share nursing officer recruitment common from your iOS device. Install it from the Apple Store in seconds. You can benefit from a free trial and choose a subscription that suits your needs.
What is nursing officer recruitment common?
Nursing officer recruitment common refers to a standardized process or set of guidelines followed to recruit nursing officers in various healthcare facilities.
Who is required to file nursing officer recruitment common?
Typically, healthcare organizations and institutions that are hiring nursing officers are required to file nursing officer recruitment common.
How to fill out nursing officer recruitment common?
To fill out nursing officer recruitment common, candidates usually need to provide personal information, educational background, professional experience, and other relevant details as specified in the recruitment form.
What is the purpose of nursing officer recruitment common?
The purpose of nursing officer recruitment common is to streamline the hiring process, ensuring that qualified candidates are selected based on standardized criteria and evaluations.
What information must be reported on nursing officer recruitment common?
Information that must be reported typically includes personal identification details, nursing qualifications, work experience, licenses, certifications, and references.
Fill out your nursing officer recruitment common online with pdfFiller!
pdfFiller is an end-to-end solution for managing, creating, and editing documents and forms in the cloud. Save time and hassle by preparing your tax forms online.
Nursing Officer Recruitment Common is not the form you're looking for?Search for another form here.
Relevant keywords
Related Forms
If you believe that this page should be taken down, please follow our DMCA take down process
here
.
This form may include fields for payment information. Data entered in these fields is not covered by PCI DSS compliance.