Get the free New Choices Waiver Case Management Agency Notice of Decision
Show details
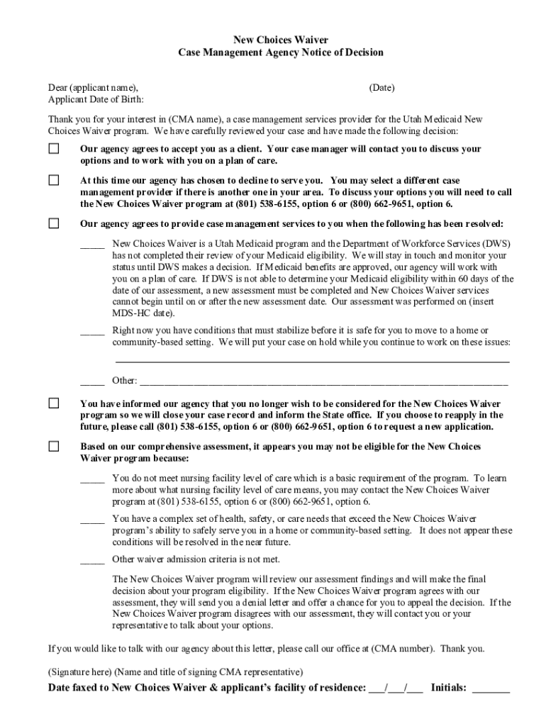
This document is a notice informing the applicant about the decision of the case management agency regarding their application for the Utah Medicaid New Choices Waiver program. It outlines whether
We are not affiliated with any brand or entity on this form
Get, Create, Make and Sign new choices waiver case
Edit your new choices waiver case form online
Type text, complete fillable fields, insert images, highlight or blackout data for discretion, add comments, and more.
Add your legally-binding signature
Draw or type your signature, upload a signature image, or capture it with your digital camera.
Share your form instantly
Email, fax, or share your new choices waiver case form via URL. You can also download, print, or export forms to your preferred cloud storage service.
Editing new choices waiver case online
Follow the guidelines below to use a professional PDF editor:
1
Set up an account. If you are a new user, click Start Free Trial and establish a profile.
2
Prepare a file. Use the Add New button. Then upload your file to the system from your device, importing it from internal mail, the cloud, or by adding its URL.
3
Edit new choices waiver case. Add and replace text, insert new objects, rearrange pages, add watermarks and page numbers, and more. Click Done when you are finished editing and go to the Documents tab to merge, split, lock or unlock the file.
4
Get your file. Select your file from the documents list and pick your export method. You may save it as a PDF, email it, or upload it to the cloud.
The use of pdfFiller makes dealing with documents straightforward.
Uncompromising security for your PDF editing and eSignature needs
Your private information is safe with pdfFiller. We employ end-to-end encryption, secure cloud storage, and advanced access control to protect your documents and maintain regulatory compliance.
How to fill out new choices waiver case
How to fill out new choices waiver case
01
Gather necessary documentation: ID, income information, and medical records.
02
Complete the application form for the New Choices Waiver.
03
Provide detailed information about the individual's needs and preferences.
04
Include any required supporting documents as indicated in the application instructions.
05
Review the application for accuracy before submission.
06
Submit the completed application to the designated agency or department.
07
Follow up to ensure the application has been received and is being processed.
Who needs new choices waiver case?
01
Individuals with disabilities or chronic illnesses.
02
Seniors who require assistance with daily living activities.
03
People seeking home and community-based services instead of institutional care.
04
Caregivers looking for support in managing care for their loved ones.
Fill
form
: Try Risk Free
For pdfFiller’s FAQs
Below is a list of the most common customer questions. If you can’t find an answer to your question, please don’t hesitate to reach out to us.
Where do I find new choices waiver case?
It's simple using pdfFiller, an online document management tool. Use our huge online form collection (over 25M fillable forms) to quickly discover the new choices waiver case. Open it immediately and start altering it with sophisticated capabilities.
How do I make changes in new choices waiver case?
The editing procedure is simple with pdfFiller. Open your new choices waiver case in the editor, which is quite user-friendly. You may use it to blackout, redact, write, and erase text, add photos, draw arrows and lines, set sticky notes and text boxes, and much more.
How do I fill out new choices waiver case on an Android device?
On an Android device, use the pdfFiller mobile app to finish your new choices waiver case. The program allows you to execute all necessary document management operations, such as adding, editing, and removing text, signing, annotating, and more. You only need a smartphone and an internet connection.
What is new choices waiver case?
The New Choices Waiver case is a program that allows individuals with disabilities to receive long-term care services in home and community-based settings instead of institutional settings.
Who is required to file new choices waiver case?
Individuals who meet certain eligibility criteria for long-term care services under the New Choices Waiver program are required to file a case.
How to fill out new choices waiver case?
To fill out a New Choices Waiver case, individuals must complete the necessary application forms, gather required documentation, and submit the application to their local Medicaid office.
What is the purpose of new choices waiver case?
The purpose of the New Choices Waiver case is to provide individuals with disabilities the option to live in their communities and receive supportive services tailored to their needs.
What information must be reported on new choices waiver case?
The information that must be reported includes personal details, medical history, current living situation, and any support services currently being received or needed.
Fill out your new choices waiver case online with pdfFiller!
pdfFiller is an end-to-end solution for managing, creating, and editing documents and forms in the cloud. Save time and hassle by preparing your tax forms online.
New Choices Waiver Case is not the form you're looking for?Search for another form here.
Relevant keywords
Related Forms
If you believe that this page should be taken down, please follow our DMCA take down process
here
.
This form may include fields for payment information. Data entered in these fields is not covered by PCI DSS compliance.