Get the free Event Hosting Guidelines During the Covid-19 Pandemic
Show details
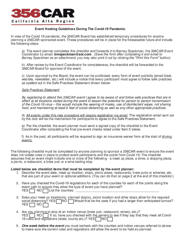
This document outlines the temporary procedures and checklist for hosting a 356CAR sponsored event during the Covid-19 pandemic, including safety practices and approval steps.
We are not affiliated with any brand or entity on this form
Get, Create, Make and Sign event hosting guidelines during
Edit your event hosting guidelines during form online
Type text, complete fillable fields, insert images, highlight or blackout data for discretion, add comments, and more.
Add your legally-binding signature
Draw or type your signature, upload a signature image, or capture it with your digital camera.
Share your form instantly
Email, fax, or share your event hosting guidelines during form via URL. You can also download, print, or export forms to your preferred cloud storage service.
How to edit event hosting guidelines during online
To use our professional PDF editor, follow these steps:
1
Create an account. Begin by choosing Start Free Trial and, if you are a new user, establish a profile.
2
Prepare a file. Use the Add New button. Then upload your file to the system from your device, importing it from internal mail, the cloud, or by adding its URL.
3
Edit event hosting guidelines during. Replace text, adding objects, rearranging pages, and more. Then select the Documents tab to combine, divide, lock or unlock the file.
4
Get your file. Select the name of your file in the docs list and choose your preferred exporting method. You can download it as a PDF, save it in another format, send it by email, or transfer it to the cloud.
pdfFiller makes working with documents easier than you could ever imagine. Create an account to find out for yourself how it works!
Uncompromising security for your PDF editing and eSignature needs
Your private information is safe with pdfFiller. We employ end-to-end encryption, secure cloud storage, and advanced access control to protect your documents and maintain regulatory compliance.
How to fill out event hosting guidelines during
How to fill out event hosting guidelines during
01
Read through the event hosting guidelines carefully to understand the requirements.
02
Gather all necessary information about the event, including date, time, location, and purpose.
03
Identify the target audience and any special accommodations needed.
04
Outline the roles and responsibilities of the event team and volunteers.
05
Ensure compliance with safety regulations and accessibility standards.
06
Detail the logistics such as catering, seating arrangements, and equipment needed.
07
Incorporate a timeline for planning stages and day-of tasks.
08
Review the guidelines for any specific branding or promotional requirements.
09
Finalize and submit the completed guidelines for approval.
Who needs event hosting guidelines during?
01
Event organizers who are planning an event.
02
Venues hosting events to ensure compliance with policies.
03
Volunteers and staff involved in the event execution.
04
Sponsors and partners who need to understand event logistics.
05
Attendees to know what to expect and how to participate.
Fill
form
: Try Risk Free
For pdfFiller’s FAQs
Below is a list of the most common customer questions. If you can’t find an answer to your question, please don’t hesitate to reach out to us.
How can I send event hosting guidelines during for eSignature?
Once your event hosting guidelines during is complete, you can securely share it with recipients and gather eSignatures with pdfFiller in just a few clicks. You may transmit a PDF by email, text message, fax, USPS mail, or online notarization directly from your account. Make an account right now and give it a go.
How do I complete event hosting guidelines during online?
With pdfFiller, you may easily complete and sign event hosting guidelines during online. It lets you modify original PDF material, highlight, blackout, erase, and write text anywhere on a page, legally eSign your document, and do a lot more. Create a free account to handle professional papers online.
How can I fill out event hosting guidelines during on an iOS device?
pdfFiller has an iOS app that lets you fill out documents on your phone. A subscription to the service means you can make an account or log in to one you already have. As soon as the registration process is done, upload your event hosting guidelines during. You can now use pdfFiller's more advanced features, like adding fillable fields and eSigning documents, as well as accessing them from any device, no matter where you are in the world.
What is event hosting guidelines during?
Event hosting guidelines during refer to the set of protocols and policies that must be followed while organizing and managing events to ensure safety, compliance, and effective coordination.
Who is required to file event hosting guidelines during?
Event organizers, sponsors, and any entity involved in organizing or hosting the event are required to file event hosting guidelines during.
How to fill out event hosting guidelines during?
To fill out event hosting guidelines during, organizers must provide detailed information about the event's schedule, number of attendees, safety measures, venue details, and compliance with local regulations.
What is the purpose of event hosting guidelines during?
The purpose of event hosting guidelines during is to ensure that events are conducted safely and responsibly while adhering to all relevant laws and regulations.
What information must be reported on event hosting guidelines during?
Information such as event date, location, expected attendance, emergency plans, health and safety protocols, and contact details of organizers must be reported on event hosting guidelines during.
Fill out your event hosting guidelines during online with pdfFiller!
pdfFiller is an end-to-end solution for managing, creating, and editing documents and forms in the cloud. Save time and hassle by preparing your tax forms online.
Event Hosting Guidelines During is not the form you're looking for?Search for another form here.
Relevant keywords
Related Forms
If you believe that this page should be taken down, please follow our DMCA take down process
here
.
This form may include fields for payment information. Data entered in these fields is not covered by PCI DSS compliance.