Get the free Nber Employee Invitation to Self-identify
Show details
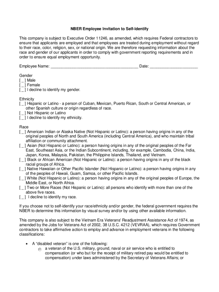
Este formulario es una invitación voluntaria para que los empleados y solicitantes se autoidentifiquen en cuanto a su raza, etnia, género y estado de veterano, con el fin de cumplir con los requisitos
We are not affiliated with any brand or entity on this form
Get, Create, Make and Sign nber employee invitation to
Edit your nber employee invitation to form online
Type text, complete fillable fields, insert images, highlight or blackout data for discretion, add comments, and more.
Add your legally-binding signature
Draw or type your signature, upload a signature image, or capture it with your digital camera.
Share your form instantly
Email, fax, or share your nber employee invitation to form via URL. You can also download, print, or export forms to your preferred cloud storage service.
Editing nber employee invitation to online
Here are the steps you need to follow to get started with our professional PDF editor:
1
Set up an account. If you are a new user, click Start Free Trial and establish a profile.
2
Simply add a document. Select Add New from your Dashboard and import a file into the system by uploading it from your device or importing it via the cloud, online, or internal mail. Then click Begin editing.
3
Edit nber employee invitation to. Add and replace text, insert new objects, rearrange pages, add watermarks and page numbers, and more. Click Done when you are finished editing and go to the Documents tab to merge, split, lock or unlock the file.
4
Save your file. Select it from your list of records. Then, move your cursor to the right toolbar and choose one of the exporting options. You can save it in multiple formats, download it as a PDF, send it by email, or store it in the cloud, among other things.
With pdfFiller, dealing with documents is always straightforward.
Uncompromising security for your PDF editing and eSignature needs
Your private information is safe with pdfFiller. We employ end-to-end encryption, secure cloud storage, and advanced access control to protect your documents and maintain regulatory compliance.
How to fill out nber employee invitation to
How to fill out nber employee invitation to
01
Visit the NBER website to access the employee invitation form.
02
Fill out your personal information, including name, contact details, and position.
03
Provide the necessary identification details as required.
04
Include any relevant department or team information.
05
Review the completed form for accuracy.
06
Submit the form according to the instructions provided.
Who needs nber employee invitation to?
01
Newly hired employees at NBER who require access to resources.
02
Visiting researchers or scholars who will be working at NBER.
03
Any staff members who need official NBER credentials for their work.
Fill
form
: Try Risk Free
For pdfFiller’s FAQs
Below is a list of the most common customer questions. If you can’t find an answer to your question, please don’t hesitate to reach out to us.
How can I edit nber employee invitation to from Google Drive?
Simplify your document workflows and create fillable forms right in Google Drive by integrating pdfFiller with Google Docs. The integration will allow you to create, modify, and eSign documents, including nber employee invitation to, without leaving Google Drive. Add pdfFiller’s functionalities to Google Drive and manage your paperwork more efficiently on any internet-connected device.
How do I make changes in nber employee invitation to?
The editing procedure is simple with pdfFiller. Open your nber employee invitation to in the editor. You may also add photos, draw arrows and lines, insert sticky notes and text boxes, and more.
How do I complete nber employee invitation to on an Android device?
Complete nber employee invitation to and other documents on your Android device with the pdfFiller app. The software allows you to modify information, eSign, annotate, and share files. You may view your papers from anywhere with an internet connection.
What is nber employee invitation to?
The NBER employee invitation is a formal request for employees to participate in a specific event, program, or survey conducted by the National Bureau of Economic Research (NBER).
Who is required to file nber employee invitation to?
Typically, employees participating in NBER studies or events may be required to file their intent to attend or respond to an invitation through the NBER employee invitation process.
How to fill out nber employee invitation to?
To fill out the NBER employee invitation, individuals must provide their personal details, indicate their availability, and respond to any specific questions or requirements outlined in the invitation.
What is the purpose of nber employee invitation to?
The purpose of the NBER employee invitation is to encourage participation in research initiatives, gather data, and facilitate collaboration among researchers and employees.
What information must be reported on nber employee invitation to?
The information required typically includes the employee's name, contact details, the event or study they are responding to, and any relevant demographic or professional information as specified in the invitation.
Fill out your nber employee invitation to online with pdfFiller!
pdfFiller is an end-to-end solution for managing, creating, and editing documents and forms in the cloud. Save time and hassle by preparing your tax forms online.
Nber Employee Invitation To is not the form you're looking for?Search for another form here.
Relevant keywords
Related Forms
If you believe that this page should be taken down, please follow our DMCA take down process
here
.
This form may include fields for payment information. Data entered in these fields is not covered by PCI DSS compliance.