Get the free Natural Medicine Owner Application
Show details
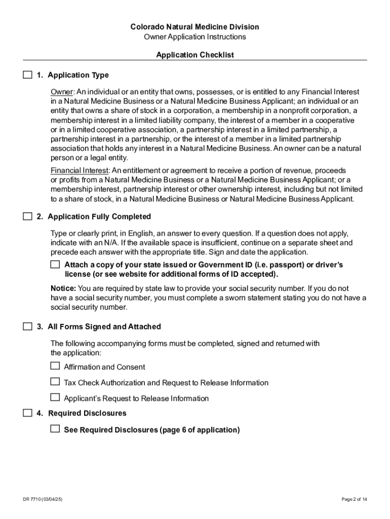
This document serves as an application for individuals or entities seeking to own, possess, or obtain any financial interest in a Natural Medicine Business in Colorado. It includes detailed instructions,
We are not affiliated with any brand or entity on this form
Get, Create, Make and Sign natural medicine owner application
Edit your natural medicine owner application form online
Type text, complete fillable fields, insert images, highlight or blackout data for discretion, add comments, and more.
Add your legally-binding signature
Draw or type your signature, upload a signature image, or capture it with your digital camera.
Share your form instantly
Email, fax, or share your natural medicine owner application form via URL. You can also download, print, or export forms to your preferred cloud storage service.
How to edit natural medicine owner application online
To use our professional PDF editor, follow these steps:
1
Set up an account. If you are a new user, click Start Free Trial and establish a profile.
2
Upload a file. Select Add New on your Dashboard and upload a file from your device or import it from the cloud, online, or internal mail. Then click Edit.
3
Edit natural medicine owner application. Rearrange and rotate pages, add new and changed texts, add new objects, and use other useful tools. When you're done, click Done. You can use the Documents tab to merge, split, lock, or unlock your files.
4
Get your file. When you find your file in the docs list, click on its name and choose how you want to save it. To get the PDF, you can save it, send an email with it, or move it to the cloud.
With pdfFiller, dealing with documents is always straightforward. Try it right now!
Uncompromising security for your PDF editing and eSignature needs
Your private information is safe with pdfFiller. We employ end-to-end encryption, secure cloud storage, and advanced access control to protect your documents and maintain regulatory compliance.
How to fill out natural medicine owner application
How to fill out natural medicine owner application
01
Obtain the natural medicine owner application form from the appropriate regulatory body or their website.
02
Carefully read the instructions accompanying the application form to ensure compliance with all requirements.
03
Fill in your personal information, including your name, address, and contact details.
04
Provide details about your business, including the business name, address, and type of natural medicines you intend to sell or distribute.
05
Include any relevant experience or qualifications you possess in the field of natural medicine.
06
Attach any required supporting documents, such as proof of identity, business registration, or relevant certifications.
07
Review your completed application to ensure all information is accurate and complete.
08
Submit the application form along with any required fees to the designated agency or office.
Who needs natural medicine owner application?
01
Individuals or businesses planning to sell or distribute natural medicines.
02
Entrepreneurs entering the natural health product market.
03
Practitioners of alternative medicine who intend to offer natural medicine products.
04
Anyone aiming to comply with regulatory requirements for operating in the natural medicine industry.
Fill
form
: Try Risk Free
For pdfFiller’s FAQs
Below is a list of the most common customer questions. If you can’t find an answer to your question, please don’t hesitate to reach out to us.
How can I modify natural medicine owner application without leaving Google Drive?
Simplify your document workflows and create fillable forms right in Google Drive by integrating pdfFiller with Google Docs. The integration will allow you to create, modify, and eSign documents, including natural medicine owner application, without leaving Google Drive. Add pdfFiller’s functionalities to Google Drive and manage your paperwork more efficiently on any internet-connected device.
How do I make changes in natural medicine owner application?
pdfFiller not only lets you change the content of your files, but you can also change the number and order of pages. Upload your natural medicine owner application to the editor and make any changes in a few clicks. The editor lets you black out, type, and erase text in PDFs. You can also add images, sticky notes, and text boxes, as well as many other things.
How do I edit natural medicine owner application in Chrome?
Download and install the pdfFiller Google Chrome Extension to your browser to edit, fill out, and eSign your natural medicine owner application, which you can open in the editor with a single click from a Google search page. Fillable documents may be executed from any internet-connected device without leaving Chrome.
What is natural medicine owner application?
The natural medicine owner application is a form that individuals or businesses must complete to obtain permission to manufacture, distribute, or sell natural medicine products. It ensures that all practitioners comply with regulatory standards.
Who is required to file natural medicine owner application?
Any individual or entity that intends to manufacture, sell, or distribute natural medicine products is required to file a natural medicine owner application.
How to fill out natural medicine owner application?
To fill out a natural medicine owner application, you typically need to provide details about your business, such as its name and address, information about the products you intend to sell, and any necessary credentials or licenses.
What is the purpose of natural medicine owner application?
The purpose of the natural medicine owner application is to ensure that all natural medicine products are safe, effective, and produced according to established health regulations, thereby protecting consumer health.
What information must be reported on natural medicine owner application?
The application requires reporting details such as the applicant's business information, product descriptions, safety data, manufacturing processes, and compliance with applicable laws and regulations.
Fill out your natural medicine owner application online with pdfFiller!
pdfFiller is an end-to-end solution for managing, creating, and editing documents and forms in the cloud. Save time and hassle by preparing your tax forms online.
Natural Medicine Owner Application is not the form you're looking for?Search for another form here.
Relevant keywords
Related Forms
If you believe that this page should be taken down, please follow our DMCA take down process
here
.
This form may include fields for payment information. Data entered in these fields is not covered by PCI DSS compliance.