Get the free New Program Request Form for Bachelor’s and Master’s Degrees
Show details
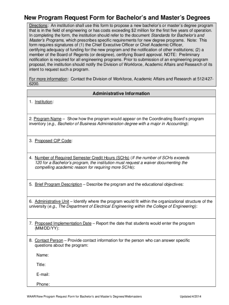
This form is used by institutions to propose new bachelor\'s or master\'s degree programs, specifically in engineering or those requiring significant financial investment.
We are not affiliated with any brand or entity on this form
Get, Create, Make and Sign new program request form
Edit your new program request form form online
Type text, complete fillable fields, insert images, highlight or blackout data for discretion, add comments, and more.
Add your legally-binding signature
Draw or type your signature, upload a signature image, or capture it with your digital camera.
Share your form instantly
Email, fax, or share your new program request form form via URL. You can also download, print, or export forms to your preferred cloud storage service.
Editing new program request form online
To use our professional PDF editor, follow these steps:
1
Log in. Click Start Free Trial and create a profile if necessary.
2
Prepare a file. Use the Add New button. Then upload your file to the system from your device, importing it from internal mail, the cloud, or by adding its URL.
3
Edit new program request form. Rearrange and rotate pages, add and edit text, and use additional tools. To save changes and return to your Dashboard, click Done. The Documents tab allows you to merge, divide, lock, or unlock files.
4
Get your file. Select the name of your file in the docs list and choose your preferred exporting method. You can download it as a PDF, save it in another format, send it by email, or transfer it to the cloud.
Dealing with documents is always simple with pdfFiller.
Uncompromising security for your PDF editing and eSignature needs
Your private information is safe with pdfFiller. We employ end-to-end encryption, secure cloud storage, and advanced access control to protect your documents and maintain regulatory compliance.
How to fill out new program request form
How to fill out new program request form
01
Obtain the new program request form from the designated source.
02
Review the form's instructions carefully before filling it out.
03
Fill in your personal information, including name, role, and contact details.
04
Provide a clear and concise description of the proposed program.
05
Outline the goals and objectives of the new program.
06
Indicate the target audience for the program.
07
Specify the required resources, including budget, manpower, and materials.
08
Include any relevant timelines or deadlines for implementation.
09
Review your responses for accuracy and completeness.
10
Submit the form to the appropriate authority for approval.
Who needs new program request form?
01
Any staff member or faculty who is proposing a new program or initiative.
02
Department heads looking to introduce new courses or programs.
03
Administrative personnel responsible for reviewing and approving new programs.
Fill
form
: Try Risk Free
For pdfFiller’s FAQs
Below is a list of the most common customer questions. If you can’t find an answer to your question, please don’t hesitate to reach out to us.
How do I execute new program request form online?
pdfFiller has made it easy to fill out and sign new program request form. You can use the solution to change and move PDF content, add fields that can be filled in, and sign the document electronically. Start a free trial of pdfFiller, the best tool for editing and filling in documents.
How do I fill out the new program request form form on my smartphone?
Use the pdfFiller mobile app to complete and sign new program request form on your mobile device. Visit our web page (https://edit-pdf-ios-android.pdffiller.com/) to learn more about our mobile applications, the capabilities you’ll have access to, and the steps to take to get up and running.
How do I complete new program request form on an iOS device?
Download and install the pdfFiller iOS app. Then, launch the app and log in or create an account to have access to all of the editing tools of the solution. Upload your new program request form from your device or cloud storage to open it, or input the document URL. After filling out all of the essential areas in the document and eSigning it (if necessary), you may save it or share it with others.
What is new program request form?
A new program request form is a document used to formally propose the initiation of a new program within an organization, outlining its objectives, requirements, and implementation plan.
Who is required to file new program request form?
Typically, department heads, program managers, or any authorized personnel within an organization who want to initiate a new program are required to file the new program request form.
How to fill out new program request form?
To fill out the new program request form, gather all necessary information including program details, objectives, resource requirements, budget estimates, and complete any sections that describe the program's impact and alignment with organizational goals.
What is the purpose of new program request form?
The purpose of the new program request form is to provide a structured method for assessing the viability and necessity of new programs, ensuring that they align with organizational goals and available resources.
What information must be reported on new program request form?
The new program request form must report information such as the program title, description, objectives, target audience, required resources, estimated budget, timeline, and expected outcomes.
Fill out your new program request form online with pdfFiller!
pdfFiller is an end-to-end solution for managing, creating, and editing documents and forms in the cloud. Save time and hassle by preparing your tax forms online.
New Program Request Form is not the form you're looking for?Search for another form here.
Relevant keywords
Related Forms
If you believe that this page should be taken down, please follow our DMCA take down process
here
.
This form may include fields for payment information. Data entered in these fields is not covered by PCI DSS compliance.