Form preview

Get the free Advanced Informed Consent to Dual Agency

Get Form
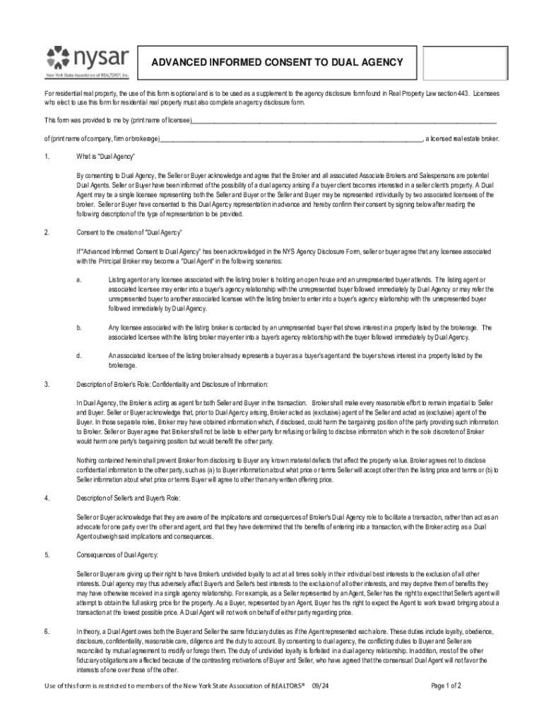
This document outlines the consent of the Seller or Buyer to enter into a dual agency relationship with a licensed real estate broker, explaining the implications and the potential conflicts of interest
We are not affiliated with any brand or entity on this form

Get, Create, Make and Sign advanced informed consent to

Edit
Edit your advanced informed consent to form online
Type text, complete fillable fields, insert images, highlight or blackout data for discretion, add comments, and more.
Add
Add your legally-binding signature
Draw or type your signature, upload a signature image, or capture it with your digital camera.
Share
Share your form instantly
Email, fax, or share your advanced informed consent to form via URL. You can also download, print, or export forms to your preferred cloud storage service.

How to edit advanced informed consent to online

9.5
Ease of Setup
pdfFiller User Ratings on G2
9.0
Ease of Use
pdfFiller User Ratings on G2
In order to make advantage of the professional PDF editor, follow these steps:
1
Create an account. Begin by choosing Start Free Trial and, if you are a new user, establish a profile.
2
Prepare a file. Use the Add New button to start a new project. Then, using your device, upload your file to the system by importing it from internal mail, the cloud, or adding its URL.
3
Edit advanced informed consent to. Rearrange and rotate pages, add and edit text, and use additional tools. To save changes and return to your Dashboard, click Done. The Documents tab allows you to merge, divide, lock, or unlock files.
4
Save your file. Choose it from the list of records. Then, shift the pointer to the right toolbar and select one of the several exporting methods: save it in multiple formats, download it as a PDF, email it, or save it to the cloud.
Dealing with documents is simple using pdfFiller.

Uncompromising security for your PDF editing and eSignature needs

Your private information is safe with pdfFiller. We employ end-to-end encryption, secure cloud storage, and advanced access control to protect your documents and maintain regulatory compliance.
GDPR
AICPA SOC 2
PCI
HIPAA
CCPA
FDA

How to fill out advanced informed consent to

Illustration

How to fill out advanced informed consent to

01
Identify the procedure or treatment for which consent is being sought.
02
Provide a clear explanation of the procedure, including its purpose and potential risks.
03
Discuss alternative treatments and procedures available.
04
Ensure the patient understands the information provided, allowing for questions.
05
Highlight the importance of the patient's decision-making and voluntary participation.
06
Obtain the patient's signature on the consent form after they have read and understood it.

Who needs advanced informed consent to?

01
Patients undergoing medical procedures.
02
Individuals participating in research studies.
03
Patients receiving anesthesia during surgery.
04
Participants in clinical trials requiring specialized treatments.

Understanding Advanced Informed Consent to Form

Understanding advanced informed consent

Advanced informed consent is an essential aspect of ethical healthcare and research, centering around the principle that patients should be fully informed about the risks and benefits associated with a treatment or participation in a study. To fully grasp its significance, we need to understand its definition and historical context. Informed consent refers to a process by which a healthcare provider communicates information about a medical intervention to a patient, allowing them to make informed decisions regarding their health.

The history of informed consent dates back to various medical ethics frameworks, evolving through court cases, legislation, and a growing recognition of patient autonomy. Landmark events, such as the Nuremberg Trials post-World War II, highlighted the need for individuals to be consciously aware and agree to procedures being performed on them. It became clear that informed consent is vital not only for protecting patients but also for ensuring ethical conduct in clinical research.

In today’s healthcare environment, advanced informed consent serves as a crucial tool for ensuring transparency and enhancing patient trust. With the integration of technology, consent processes are becoming more refined, making it simpler for patients to understand their medical options.

The role of advanced platforms in informed consent

The advent of digital platforms has transformed the landscape of informed consent significantly. Technology not only streamlines the consent process but also enhances trust by allowing patients to engage with content that is clear and accessible. Advanced digital tools provide an avenue for patients to digest information at their own pace, nurturing a sense of ownership over their health decisions.

Among the numerous benefits of using digital platforms for informed consent are:

Enhanced security and compliance: Digital forms are often equipped with robust security protocols that protect patient data, ensuring compliance with regulations such as HIPAA.
Improved patient engagement and understanding: Interactive features allow patients to ask questions and receive clarifications instantly, improving comprehension of complex medical information.
Streamlined processes for healthcare providers: Automated tracking and documentation reduce administrative burdens, allowing practitioners to focus more on patient care.

Key elements of advanced informed consent

For informed consent to be effective, it must include certain valid elements that ensure the patient's autonomy and understanding. The two key components are information disclosure and the patient’s understanding and voluntariness. Information disclosure involves providing patients with all pertinent details about risks, benefits, and alternatives to a procedure. It is the physician's responsibility to present this information in clear, layman's terms to foster understanding.

Voluntariness ensures that the patient has made a free choice without any coercion. Special considerations must apply in specific situations, such as obtaining consent from vulnerable populations like minors or the elderly. Additionally, there are circumstances where waived consent might be permissible, particularly in emergency scenarios where timely treatment is critical.

Improving compliance through smart solutions

Integrating consent forms into patient care workflows is a strategic step toward improving compliance. By embedding these forms within the patient journey, healthcare providers can ensure that consent is obtained seamlessly and ethically. It’s crucial that the documentation process is managed effectively, adopting best practices for maintaining informed consent records. This includes ensuring the use of electronic signatures and automated record keeping that simplifies the tracking of consent.

Utilizing technology to manage consent forms allows for a more sustainable, organized approach. By employing tools that automatically update and archive records, healthcare providers can both enhance their workflow and reduce the risk of errors.

Architecting an advanced informed consent process

Creating and managing an effective advanced informed consent process involves several key steps. First and foremost:

Identifying the purpose and audience: Clearly define the goals of the consent process and tailor the information to the specific demographic of patients.
Structuring information clearly: Present information in a straightforward manner, breaking down complex terms into understandable language.
Using interactive tools for patient engagement: Implement platforms that facilitate two-way communication, encouraging patients to ask questions and interact with the content.

Tailored consent forms for specific procedures or studies can greatly improve patient understanding and comfort. Case studies demonstrate how organizations have successfully implemented these tailored forms, resulting in both higher patient satisfaction and compliance rates.

Navigating challenges in informed consent

Despite advancements in informed consent practices, challenges persist. Common pitfalls include misunderstandings stemming from medical jargon, which can deter a patient's ability to make a fully informed decision. Rushed consultations can exacerbate this issue, resulting in patients feeling pressured to consent without adequate understanding.

Legislative and ethical considerations also play an indispensable role in the informed consent landscape. Staying compliant with regulations, such as HIPAA, requires proactive measures from healthcare providers to ensure they uphold patient confidentiality while sharing necessary information.

Future of informed consent

Looking ahead, the future of informed consent is brimming with potential innovations that promise to transform how consent is acquired and managed. Technologies such as AI are expected to play a colossal role, providing patients with personalized recommendations for medical decisions, thereby enhancing their understanding of their choices.

Furthermore, predictive analytics will enable healthcare teams to anticipate patient needs and concerns, molding a more responsive consent process. Shifting trends toward patient-centered care models also indicate a broader recognition of the importance of patient autonomy in healthcare decision-making.

Tips for practitioners

For practitioners looking to enhance the informed consent process, fostering a dialogue with patients is crucial. Open communication encourages patients to express their concerns and questions, leading to a more informed and confident decision. Practitioners should employ strategies such as utilizing visual aids and real-life examples to explain complex concepts, ensuring that patients are equipped to make their choices.

Additionally, equipping healthcare teams with tools and resources that facilitate better patient communication can significantly enhance the consent process. The use of mobile apps or interactive platforms can bridge gaps in understanding, making sure that patients stay informed every step of the way.

Conclusion and best practices

In summary, the landscape of advanced informed consent has evolved significantly, highlighting its necessity in fostering transparency and trust in healthcare. Key takeaways for effective informed consent include understanding the critical elements that support informed decision-making and the importance of utilizing technology to streamline the process.

Collaboration among healthcare teams is fundamental for cultivating an environment where informed consent is prioritized. By implementing continuous improvement strategies and soliciting feedback, organizations can refine their consent processes, ensuring patients feel respected and informed in their medical journeys.

Additional tools and features in pdfFiller for document management

pdfFiller offers innovative solutions to enhance the informed consent process. Among its standout features are interactive editing options that allow users to tailor forms for specific needs. The collaboration features enable compliance teams to ensure that all documents meet regulatory standards efficiently.

Moreover, the eSigning capabilities and customizable workflows built into pdfFiller empower both practitioners and patients to navigate the consent process seamlessly. Utilizing such advanced tools can significantly increase the efficiency and security of handling sensitive documents, building a more robust informed consent process.

Fill form : Try Risk Free
Users Most Likely To Recommend - Summer 2025
Grid Leader in Small-Business - Summer 2025
High Performer - Summer 2025
Regional Leader - Summer 2025
Easiest To Do Business With - Summer 2025
Best Meets Requirements- Summer 2025
Rate the form
4.3
Satisfied
36 Votes

For pdfFiller’s FAQs

Below is a list of the most common customer questions. If you can’t find an answer to your question, please don’t hesitate to reach out to us.

pdfFiller makes it easy to finish and sign advanced informed consent to online. It lets you make changes to original PDF content, highlight, black out, erase, and write text anywhere on a page, legally eSign your form, and more, all from one place. Create a free account and use the web to keep track of professional documents.
Yes, you can. With the pdfFiller mobile app, you can instantly edit, share, and sign advanced informed consent to on your iOS device. Get it at the Apple Store and install it in seconds. The application is free, but you will have to create an account to purchase a subscription or activate a free trial.
On an Android device, use the pdfFiller mobile app to finish your advanced informed consent to. The program allows you to execute all necessary document management operations, such as adding, editing, and removing text, signing, annotating, and more. You only need a smartphone and an internet connection.
Advanced informed consent is a process through which individuals give their permission for a specific action or treatment after being fully informed of the potential risks, benefits, and alternatives.
Typically, healthcare providers, researchers, or any entity that is performing an intervention or treatment that poses risks to individuals is required to file advanced informed consent.
To fill out advanced informed consent, one should provide clear information about the procedure, risks involved, benefits, alternative options, and include a section for the individual to sign, indicating their understanding and agreement.
The purpose of advanced informed consent is to ensure that individuals are fully aware of and agree to the procedures being performed on them, thereby protecting their autonomy and legal rights.
The information that must be reported includes a description of the procedure, the potential risks and benefits, alternative treatments, and the individual's right to withdraw consent at any time.
Fill out your advanced informed consent to online with pdfFiller!

pdfFiller is an end-to-end solution for managing, creating, and editing documents and forms in the cloud. Save time and hassle by preparing your tax forms online.

Get started now
Form preview
If you believe that this page should be taken down, please follow our DMCA take down process here .
This form may include fields for payment information. Data entered in these fields is not covered by PCI DSS compliance.