
Get the free Simple Letter Agreement for the Transfer of Materials
Show details
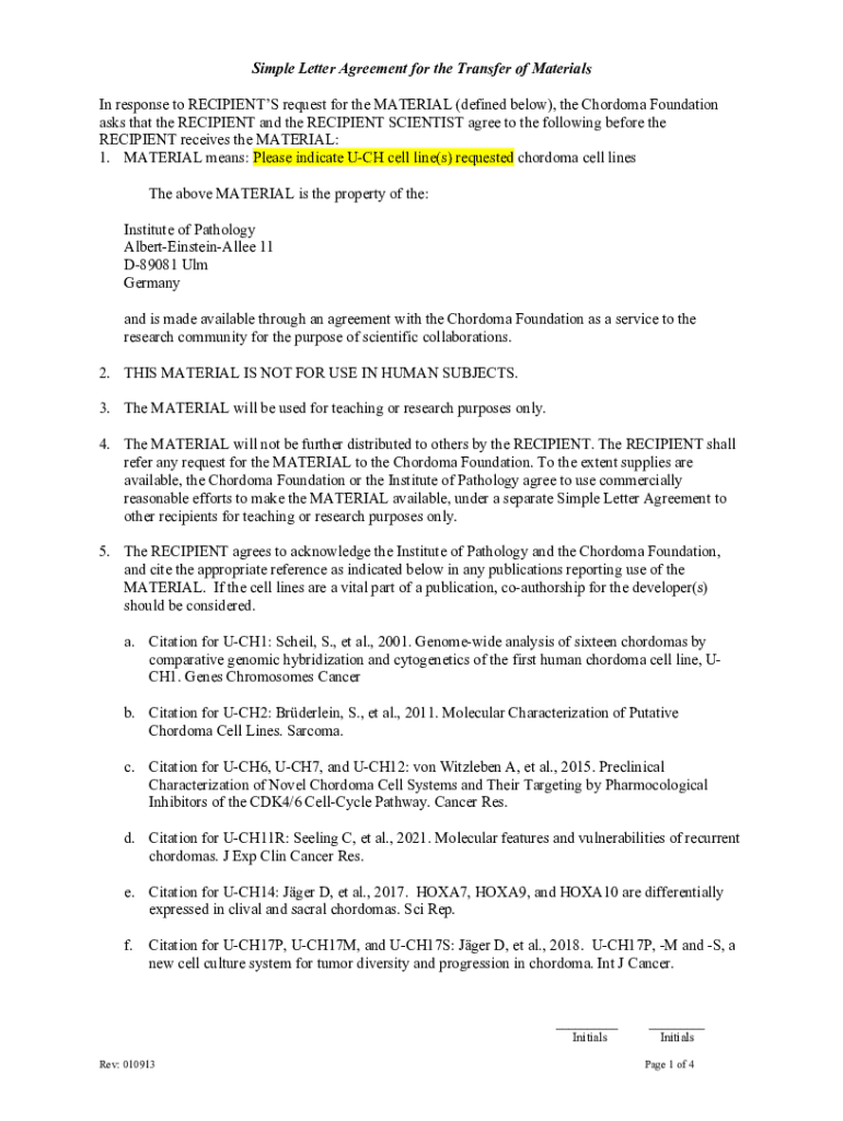
This document is an agreement between the Chordoma Foundation and the recipient regarding the transfer and use of scientific materials for research purposes, outlining terms of use, distribution,
We are not affiliated with any brand or entity on this form
Get, Create, Make and Sign simple letter agreement for

Edit your simple letter agreement for form online
Type text, complete fillable fields, insert images, highlight or blackout data for discretion, add comments, and more.

Add your legally-binding signature
Draw or type your signature, upload a signature image, or capture it with your digital camera.

Share your form instantly
Email, fax, or share your simple letter agreement for form via URL. You can also download, print, or export forms to your preferred cloud storage service.
How to edit simple letter agreement for online
To use the services of a skilled PDF editor, follow these steps:
1
Register the account. Begin by clicking Start Free Trial and create a profile if you are a new user.
2
Simply add a document. Select Add New from your Dashboard and import a file into the system by uploading it from your device or importing it via the cloud, online, or internal mail. Then click Begin editing.
3
Edit simple letter agreement for. Rearrange and rotate pages, add and edit text, and use additional tools. To save changes and return to your Dashboard, click Done. The Documents tab allows you to merge, divide, lock, or unlock files.
4
Get your file. Select your file from the documents list and pick your export method. You may save it as a PDF, email it, or upload it to the cloud.
With pdfFiller, it's always easy to work with documents. Check it out!
Uncompromising security for your PDF editing and eSignature needs
Your private information is safe with pdfFiller. We employ end-to-end encryption, secure cloud storage, and advanced access control to protect your documents and maintain regulatory compliance.
How to fill out simple letter agreement for

How to fill out simple letter agreement for
01
Begin with the date at the top of the letter.
02
Include the recipient's name and address below the date.
03
Start with a greeting, addressing the recipient appropriately.
04
Clearly state the purpose of the letter in the opening paragraph.
05
Provide details of the agreement in a clear and concise manner, outlining key terms.
06
Specify any obligations or responsibilities of each party involved.
07
Include any timelines or deadlines that are relevant to the agreement.
08
End with a closing statement, expressing hope for confirmation or cooperation.
09
Sign the letter and include your name and contact information.
Who needs simple letter agreement for?
01
Individuals entering into a simple agreement with another party.
02
Small business owners needing to outline terms with clients or vendors.
03
Freelancers requiring basic agreements for services rendered.
04
Organizations needing to formalize arrangements with partners.
Fill
form
: Try Risk Free
For pdfFiller’s FAQs
Below is a list of the most common customer questions. If you can’t find an answer to your question, please don’t hesitate to reach out to us.
How can I send simple letter agreement for to be eSigned by others?
When you're ready to share your simple letter agreement for, you can swiftly email it to others and receive the eSigned document back. You may send your PDF through email, fax, text message, or USPS mail, or you can notarize it online. All of this may be done without ever leaving your account.
Where do I find simple letter agreement for?
The premium pdfFiller subscription gives you access to over 25M fillable templates that you can download, fill out, print, and sign. The library has state-specific simple letter agreement for and other forms. Find the template you need and change it using powerful tools.
Can I sign the simple letter agreement for electronically in Chrome?
As a PDF editor and form builder, pdfFiller has a lot of features. It also has a powerful e-signature tool that you can add to your Chrome browser. With our extension, you can type, draw, or take a picture of your signature with your webcam to make your legally-binding eSignature. Choose how you want to sign your simple letter agreement for and you'll be done in minutes.
What is simple letter agreement for?
A simple letter agreement is a basic document used to outline the terms and conditions of a mutual agreement between parties, often serving as a preliminary contract.
Who is required to file simple letter agreement for?
Typically, any party involved in a transaction or agreement that requires formal recognition of terms may be required to file a simple letter agreement.
How to fill out simple letter agreement for?
To fill out a simple letter agreement, parties should clearly state their names, describe the agreement's purpose, outline the terms and conditions, and include signatures.
What is the purpose of simple letter agreement for?
The purpose of a simple letter agreement is to provide a clear, concise understanding of the obligations and expectations between the involved parties.
What information must be reported on simple letter agreement for?
Information that must be reported includes the identities of the parties involved, the subject matter of the agreement, terms and conditions, and any agreed-upon obligations or timelines.
Fill out your simple letter agreement for online with pdfFiller!
pdfFiller is an end-to-end solution for managing, creating, and editing documents and forms in the cloud. Save time and hassle by preparing your tax forms online.

Simple Letter Agreement For is not the form you're looking for?Search for another form here.
Relevant keywords
Related Forms
If you believe that this page should be taken down, please follow our DMCA take down process
here
.
This form may include fields for payment information. Data entered in these fields is not covered by PCI DSS compliance.