Form preview

Get the free Membership Agreement

Get Form
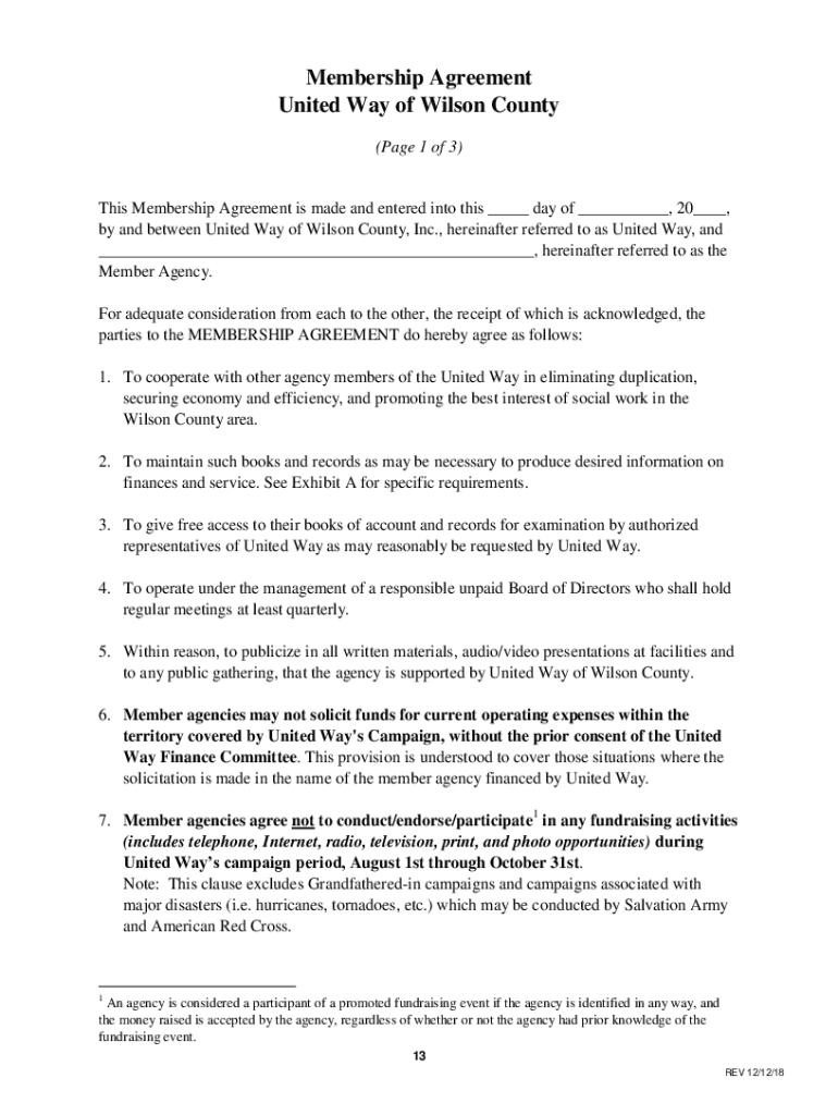
This document outlines the membership agreement terms between United Way of Wilson County and its member agencies, detailing cooperation, financial reporting, fundraising restrictions, and penalties
We are not affiliated with any brand or entity on this form

Get, Create, Make and Sign membership agreement

Edit
Edit your membership agreement form online
Type text, complete fillable fields, insert images, highlight or blackout data for discretion, add comments, and more.
Add
Add your legally-binding signature
Draw or type your signature, upload a signature image, or capture it with your digital camera.
Share
Share your form instantly
Email, fax, or share your membership agreement form via URL. You can also download, print, or export forms to your preferred cloud storage service.

How to edit membership agreement online

9.5
Ease of Setup
pdfFiller User Ratings on G2
9.0
Ease of Use
pdfFiller User Ratings on G2
Follow the steps below to benefit from the PDF editor's expertise:
1
Create an account. Begin by choosing Start Free Trial and, if you are a new user, establish a profile.
2
Upload a file. Select Add New on your Dashboard and upload a file from your device or import it from the cloud, online, or internal mail. Then click Edit.
3
Edit membership agreement. Rearrange and rotate pages, insert new and alter existing texts, add new objects, and take advantage of other helpful tools. Click Done to apply changes and return to your Dashboard. Go to the Documents tab to access merging, splitting, locking, or unlocking functions.
4
Get your file. When you find your file in the docs list, click on its name and choose how you want to save it. To get the PDF, you can save it, send an email with it, or move it to the cloud.
pdfFiller makes dealing with documents a breeze. Create an account to find out!

Uncompromising security for your PDF editing and eSignature needs

Your private information is safe with pdfFiller. We employ end-to-end encryption, secure cloud storage, and advanced access control to protect your documents and maintain regulatory compliance.
GDPR
AICPA SOC 2
PCI
HIPAA
CCPA
FDA

How to fill out membership agreement

Illustration

How to fill out membership agreement

01
Read through the entire membership agreement carefully to understand its terms.
02
Fill in your personal information, including your name, address, phone number, and email.
03
Specify the type of membership you are applying for, if applicable.
04
Review any eligibility requirements and confirm that you meet them.
05
Provide any additional documentation or information required by the agreement.
06
Agree to the terms and conditions outlined in the agreement.
07
Sign and date the agreement where indicated.
08
Keep a copy of the signed agreement for your records.

Who needs membership agreement?

01
Individuals seeking to join a club or organization that requires membership.
02
Businesses looking to formalize partnerships or alliances with other entities.
03
Sports teams or leagues that need to register players and officials.
04
Non-profit organizations requiring membership for services or benefits.

Membership Agreement Form: How-to Guide

Understanding membership agreements

A membership agreement is a formal document that outlines the terms and conditions between an organization and its members. This agreement serves several purposes, including establishing rules for membership, defining benefits, and setting out obligations for all parties involved. The primary components of a membership agreement typically include the member's responsibilities, benefits, termination conditions, and the duration of membership.

These agreements are essential not only for the organization but also for members as they clarify expectations and foster a sense of belonging. By laying out responsibilities and rights, membership agreements help prevent conflicts and misunderstandings that may arise during the course of membership.

Definition and purpose
Key components of a membership agreement

When to use a membership agreement

A membership agreement is beneficial for various types of organizations, including professional associations, civic organizations, and subscription-based services. Each of these entities can establish clear guidelines that enhance member experience and enhance operational efficiency. For instance, professional associations often require a structured approach to harness member contributions effectively, thereby achieving their objectives.

Certain situations necessitate the use of a membership agreement, including setting forth rules for member interactions and defining benefits. This document can be invaluable during events where disputes might arise about member roles or contributions, ensuring that all parties understand their obligations and the potential repercussions of non-compliance.

Professional associations
Charitable and civic groups
Subscription and service-based businesses

Step-by-step guide to creating a membership agreement

Creating a membership agreement involves a series of steps to ensure all essential components are covered. Start by collecting basic information pertaining to both the member and the organization, including names, contact details, and the organization's purpose. This foundational data is essential as it personalizes the agreement and can strengthen relationships.

Next, clearly define member benefits and outline membership duties explicitly. This section should communicate what members can expect to receive in return for their commitments, whereas the duties should clearly articulate responsibilities, participation expectations, and engagement.

Collect Basic Information
Define Member Benefits
Outline Membership Duties
Establish Membership Rules and Bylaws
Include Termination Clauses
Signature Section

Customizing your membership agreement

Every organization is unique, and your membership agreement should reflect that. Tailoring the terms to meet specific needs can significantly enhance member satisfaction and operational efficiency. For instance, clauses can be designed to address distinct membership categories or levels, incorporating custom perks or responsibilities.

Additionally, establishing a process for amendments allows the agreement to evolve with changing organizational needs or external factors. It's crucial to conduct periodic reviews of the agreement to ensure its terms remain relevant and beneficial to both the organization and its members.

Tailoring to specific needs
Adding flexibility and adaptability
Reviewing and reassessing agreement terms

FAQ: Navigating common questions about membership agreements

Potential questions regarding membership agreements often arise, particularly about their legal significance and adaptability. For example, many wonder if a membership agreement is legally binding. The answer typically hinges on its formulation; a well-drafted agreement can serve as an enforceable contract under law.

It's also crucial to know how to handle breaches of this agreement. Establish clear procedures for addressing such instances, including mechanisms for dispute resolution. Moreover, allowing for modifications of the agreement over time can be vital for ensuring it continues to serve its purpose.

Is a Membership Agreement Legally Binding?
What Happens if a Member Breaches the Agreement?
How to Handle Disputes Arising from Membership Agreements?
Can Membership Agreements Be Modified?
Best Practices for Documenting Changes

Tools and resources for managing membership agreements

In the realm of document management, utilizing interactive tools can streamline the creation and handling of membership agreements significantly. Platforms like pdfFiller offer customizable templates, allowing users to generate tailored agreements efficiently. These tools can help save time while ensuring compliance with all necessary legal stipulations.

Cloud-based platforms also enhance document accessibility, allowing users to manage agreements from any location and device. This enhances collaboration and ensures all stakeholders can access the latest version of the agreement. Consulting with a legal professional is advised to navigate complex legal language and ensure that the agreement complies with local regulations.

Interactive Tools for Document Creation
Using Cloud-Based Platforms for Accessibility
Seeking Legal Advice

Related templates and resources

Having access to various templates and resources accelerates the drafting process of membership agreements. Sample agreements can serve as effective references, offering insight into typical clauses and structures, which can be particularly beneficial for organizations new to the concept of membership agreements.

Alongside membership agreements, other legal document templates such as online terms and conditions or cookie policies should also be considered. Ensuring consistency across all documentation increases professionalism and transparency while building member trust.

Sample Membership Agreements
Other Legal Document Templates Frequently Used
Community Guidelines Format

Effective management of membership agreements

Managing a membership agreement goes beyond simply drafting and signing; it requires ongoing communication with members regarding updates or changes. Regular newsletters can nurture the sense of community, ensuring that members feel engaged and informed about any modifications to their rights or responsibilities.

Moreover, creating a system for monitoring compliance with the agreement can help organizations identify potential issues before they escalate. Digital tracking systems can provide alerts regarding members who may not be fulfilling their obligations, enabling proactive measures to address these concerns.

Ongoing Communication with Members
Methods for Collecting Feedback on the Agreement
Tools for Monitoring Compliance
Fill form : Try Risk Free
Users Most Likely To Recommend - Summer 2025
Grid Leader in Small-Business - Summer 2025
High Performer - Summer 2025
Regional Leader - Summer 2025
Easiest To Do Business With - Summer 2025
Best Meets Requirements- Summer 2025
Rate the form
4.8
Satisfied
57 Votes

For pdfFiller’s FAQs

Below is a list of the most common customer questions. If you can’t find an answer to your question, please don’t hesitate to reach out to us.

You can quickly improve your document management and form preparation by integrating pdfFiller with Google Docs so that you can create, edit and sign documents directly from your Google Drive. The add-on enables you to transform your membership agreement into a dynamic fillable form that you can manage and eSign from any internet-connected device.
Yes. By adding the solution to your Chrome browser, you can use pdfFiller to eSign documents and enjoy all of the features of the PDF editor in one place. Use the extension to create a legally-binding eSignature by drawing it, typing it, or uploading a picture of your handwritten signature. Whatever you choose, you will be able to eSign your membership agreement in seconds.
The pdfFiller mobile applications for iOS and Android are the easiest way to edit documents on the go. You may get them from the Apple Store and Google Play. More info about the applications here. Install and log in to edit membership agreement.
A membership agreement is a legal document that outlines the terms and conditions of membership in an organization, club, or association. It typically includes details regarding rights, responsibilities, and the benefits of being a member.
Individuals or entities that wish to join a particular organization or association are required to file a membership agreement, usually as part of the application process.
To fill out a membership agreement, read the document carefully, provide requested personal information, agree to the terms and conditions, and sign the form. Some agreements may also require payment of membership fees.
The purpose of a membership agreement is to establish a clear understanding between the member and the organization regarding the terms of membership, including rights, obligations, and expectations on both sides.
The information that must be reported on a membership agreement typically includes the member's name, contact information, membership type, payment details, and acknowledgment of the organization's rules and regulations.
Fill out your membership agreement online with pdfFiller!

pdfFiller is an end-to-end solution for managing, creating, and editing documents and forms in the cloud. Save time and hassle by preparing your tax forms online.

Get started now
Form preview
If you believe that this page should be taken down, please follow our DMCA take down process here .
This form may include fields for payment information. Data entered in these fields is not covered by PCI DSS compliance.