
Get the free Hcup Summary Statistics Report: Az Sid 2007 Core - File - hcup-us ahrq
Get, Create, Make and Sign hcup summary statistics report



How to edit hcup summary statistics report online
Uncompromising security for your PDF editing and eSignature needs
How to fill out hcup summary statistics report

How to fill out hcup summary statistics report
Who needs hcup summary statistics report?
Understanding the HCUP Summary Statistics Report Form
Understanding the HCUP Summary Statistics Report Form
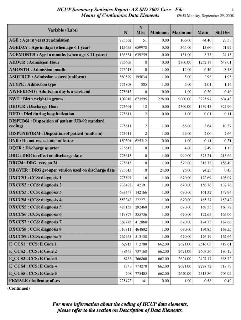
The HCUP Summary Statistics Report Form is a vital tool used in healthcare data collection, designed to provide consolidated insights regarding patient care and hospital performance. This form plays a crucial role in standardizing data inputs across various healthcare providers, making it easier to assess trends, outcomes, and the quality of care provided to patients.
By capturing comprehensive statistical information, the HCUP Summary Statistics Report empowers healthcare organizations to improve service delivery and operational efficiency. As healthcare becomes increasingly data-driven, the importance of using such standardized forms cannot be overstated. They ultimately help inform decisions that can save lives and improve healthcare systems.
Key features of the HCUP Summary Statistics Report Form
The HCUP Summary Statistics Report Form boasts several key features that enhance its applicability and usability in healthcare analytics. Firstly, it offers comprehensive data insights that allow healthcare providers to gather detailed information regarding patient demographics, hospitalization data, and discharge information, crucial for accurate assessments.
Moreover, the user-friendly interface and design ensure users from varied backgrounds can navigate it with ease, reducing the risk of errors during data entry. Its cloud-based features facilitate accessibility from anywhere, enabling teams to collaborate efficiently in real-time, regardless of location.
Step-by-step guide to completing the HCUP Summary Statistics Report Form
Completing the HCUP Summary Statistics Report Form requires careful preparation and attention to detail. This section provides a step-by-step guide to effectively filling out the form, ensuring all required information is accurately captured.
Preparing to fill out the form
Before diving into the form, gather all necessary data and documentation, such as patient records and statistical reports. Familiarize yourself with statistical terms and metrics relevant to the data you’re reporting on. This foundational understanding is crucial to ensuring that the information provided is both accurate and relevant.
Filling out the form
The HCUP Summary Statistics Report Form is typically divided into several sections, including patient demographics, hospitalization data, and discharge information.
Review and Verification Process
After filling out the form, it's vital to review the information for accuracy. This can be done by cross-checking data against original medical records and institutional policies. Ensure all statistical terms are accurately reflected and that each section is complete before submitting.
Editing and managing the HCUP Summary Statistics Report Form
Life is unpredictable, and sometimes errors need to be addressed even after submission. This section covers how to edit information on the HCUP Summary Statistics Report Form post-submission. Leveraging pdfFiller’s content management capabilities allows users to edit submitted documents easily while maintaining version control.
Ensuring all edits are tracked is essential for compliance and audit purposes. Moreover, maintaining a secure and organized file system is necessary for data integrity. Utilize cloud features to store multiple versions of reports, enabling users to retrieve specific iterations when required.
eSigning the HCUP Summary Statistics Report Form
With the rise of digital documentation, understanding eSignatures and their legal standing is crucial for the submission of the HCUP Summary Statistics Report Form. An eSignature allows users to sign documents electronically, providing the same legal validity as a handwritten signature while saving time.
To ensure a secure eSigning process, make sure to follow these steps carefully. Utilize features in pdfFiller that allow for secure signing via encrypted channels. This helps mitigate risks associated with data breaches. Common issues might include difficulties accessing the eSigning feature or connection delays; being aware of troubleshooting steps can streamline this process.
Collaborative features for teams
One of the standout features of the HCUP Summary Statistics Report Form is its collaborative capabilities. By using pdfFiller, teams can efficiently share the report form, allowing multiple stakeholders to contribute, edit, and finalize the document seamlessly.
When sharing the form, it’s important to establish clear permissions and roles. This ensures that sensitive data remains protected and only authorized personnel can make changes to critical sections. Utilizing collaboration tools provided by pdfFiller can maximize efficiency in data collection and reporting.
Frequently asked questions (FAQs)
Understanding common queries can help clarify the purpose and functionality of the HCUP Summary Statistics Report Form. Here are a few frequently asked questions that address key aspects of the form.
Additional tools and resources
To enhance your experience with the HCUP Summary Statistics Report Form, several additional tools and resources are available. These include interactive data extraction and analysis tools that empower users to delve deeper into healthcare metrics and outcomes.
Access to the HCUP database can unlock further applications in research and policy development, providing a wealth of information for users. Moreover, pdfFiller offers training materials and tutorials that are essential for improving usability and ensuring users are well-equipped to manage their documents effectively.
Community and support
Employing the HCUP Summary Statistics Report Form can be made simpler through community engagement and support. Participating in forums and discussion groups provides users with a platform to share experiences, tips, and advice regarding effective form completion and data reporting.
Moreover, networking opportunities can lead to collaborations and sharing of best practices in healthcare data analytics. Subscribing to updates on healthcare data enhances your knowledge and keeps you informed about advancements relevant to HCUP.
Understanding the impact of HCUP Summary Statistics
The implications of using the HCUP Summary Statistics Report Form extend beyond mere data reporting. Its contributions can be observed through various case studies showcasing real-world applications in healthcare improvement initiatives. By utilizing this form, facilities can highlight trends, address deficiencies in service delivery, and allocate resources more effectively.
Looking forward, the landscape of healthcare data analytics is rapidly evolving. The insights obtained from HCUP data can significantly influence research outcomes and policy development, demonstrating the substantial impact this tool holds for healthcare practitioners and researchers alike.
For pdfFiller’s FAQs
Below is a list of the most common customer questions. If you can’t find an answer to your question, please don’t hesitate to reach out to us.
How can I modify hcup summary statistics report without leaving Google Drive?
Can I create an electronic signature for signing my hcup summary statistics report in Gmail?
How do I fill out hcup summary statistics report on an Android device?
What is hcup summary statistics report?
Who is required to file hcup summary statistics report?
How to fill out hcup summary statistics report?
What is the purpose of hcup summary statistics report?
What information must be reported on hcup summary statistics report?
pdfFiller is an end-to-end solution for managing, creating, and editing documents and forms in the cloud. Save time and hassle by preparing your tax forms online.
