
Get the free MLS Only and Listing Only APPLICATION INSTRUCTIONS
Show details
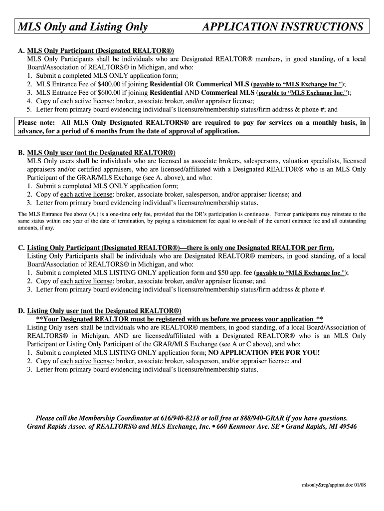
MLS Only and Listing Only APPLICATION INSTRUCTIONS A. MLS Only Participant (Designated REALTOR) MLS Only Participants shall be individuals who are Designated REALTOR members, in good standing, of
We are not affiliated with any brand or entity on this form
Get, Create, Make and Sign mls only and listing

Edit your mls only and listing form online
Type text, complete fillable fields, insert images, highlight or blackout data for discretion, add comments, and more.

Add your legally-binding signature
Draw or type your signature, upload a signature image, or capture it with your digital camera.

Share your form instantly
Email, fax, or share your mls only and listing form via URL. You can also download, print, or export forms to your preferred cloud storage service.
How to edit mls only and listing online
Follow the steps down below to use a professional PDF editor:
1
Create an account. Begin by choosing Start Free Trial and, if you are a new user, establish a profile.
2
Upload a file. Select Add New on your Dashboard and upload a file from your device or import it from the cloud, online, or internal mail. Then click Edit.
3
Edit mls only and listing. Text may be added and replaced, new objects can be included, pages can be rearranged, watermarks and page numbers can be added, and so on. When you're done editing, click Done and then go to the Documents tab to combine, divide, lock, or unlock the file.
4
Get your file. Select your file from the documents list and pick your export method. You may save it as a PDF, email it, or upload it to the cloud.
pdfFiller makes working with documents easier than you could ever imagine. Register for an account and see for yourself!
Uncompromising security for your PDF editing and eSignature needs
Your private information is safe with pdfFiller. We employ end-to-end encryption, secure cloud storage, and advanced access control to protect your documents and maintain regulatory compliance.
How to fill out mls only and listing

How to fill out mls only and listing:
01
Start by gathering all the necessary information about the property you want to list. This includes details such as the address, square footage, number of bedrooms and bathrooms, amenities, and any unique features.
02
Next, gather all the relevant documents and paperwork that will be required for listing the property on the MLS (Multiple Listing Service). This may include things like property disclosures, inspection reports, and any legal documents that need to be included.
03
Once you have all the information and documents ready, log in to your MLS account or contact a real estate professional who has access to the MLS. Follow the instructions provided on the platform to create a new listing.
04
Fill out all the required fields in the MLS listing form. This typically includes providing detailed information about the property, such as the listing price, property description, photos, and virtual tours (if available).
05
Make sure to accurately input all the information to avoid any discrepancies or misunderstandings. Pay attention to details such as listing price, property type, and any special features that can attract potential buyers.
06
Upload high-quality photos and videos of the property that showcase its best features. This will help attract more attention from potential buyers and increase the chances of selling or renting the property quickly.
07
Review the completed listing before submitting it to the MLS. Double-check all the information, especially contact details and other important data, to ensure accuracy.
Who needs MLS only and listing?
01
Real estate agents: MLS is a widely used platform in the real estate industry, and real estate agents often rely on it to search for properties, show listings to clients, and access valuable market data. They need MLS to effectively market and sell properties.
02
Home sellers: Individuals or homeowners who want to sell their properties can benefit from MLS by reaching a wider audience of potential buyers. It allows them to showcase their property to real estate professionals and serious buyers who are actively searching for properties.
03
Renters and landlords: MLS is not only limited to property sales but also includes rental listings. Renters who are searching for a new place to live can find a wide range of rental properties on the MLS platform. Landlords can utilize MLS to advertise their available rental properties and attract prospective tenants.
04
Home buyers: MLS provides a comprehensive and up-to-date inventory of available properties, making it an essential tool for home buyers. They can search for properties that meet their specific criteria, such as location, price range, and features, and contact real estate agents for more information or to schedule viewings.
Overall, MLS only and listing is crucial for anyone involved in the real estate market, including real estate agents, home sellers, renters, landlords, and home buyers. It offers a centralized platform to showcase and search for properties, making the buying, selling, or renting process more streamlined and efficient.
Fill
form
: Try Risk Free
For pdfFiller’s FAQs
Below is a list of the most common customer questions. If you can’t find an answer to your question, please don’t hesitate to reach out to us.
What is mls only and listing?
MLS only refers to a type of listing agreement where the property is only listed on the Multiple Listing Service (MLS) and not marketed elsewhere. The listing is a contractual agreement between a real estate agent and a property owner to sell the property.
Who is required to file mls only and listing?
Real estate agents and brokers are typically required to file an MLS only listing agreement on behalf of their clients who wish to sell their property.
How to fill out mls only and listing?
To fill out an MLS only listing agreement, the real estate agent must gather all the necessary information about the property, including details about the property, pricing, and any additional terms of the listing agreement.
What is the purpose of mls only and listing?
The purpose of an MLS only listing is to market the property to a wider audience of potential buyers who have access to the MLS database.
What information must be reported on mls only and listing?
The information that must be reported on an MLS only listing includes the property's address, description, price, property type, and any additional terms or conditions of the listing agreement.
Can I sign the mls only and listing electronically in Chrome?
Yes. With pdfFiller for Chrome, you can eSign documents and utilize the PDF editor all in one spot. Create a legally enforceable eSignature by sketching, typing, or uploading a handwritten signature image. You may eSign your mls only and listing in seconds.
How do I edit mls only and listing straight from my smartphone?
You may do so effortlessly with pdfFiller's iOS and Android apps, which are available in the Apple Store and Google Play Store, respectively. You may also obtain the program from our website: https://edit-pdf-ios-android.pdffiller.com/. Open the application, sign in, and begin editing mls only and listing right away.
How do I edit mls only and listing on an Android device?
The pdfFiller app for Android allows you to edit PDF files like mls only and listing. Mobile document editing, signing, and sending. Install the app to ease document management anywhere.
Fill out your mls only and listing online with pdfFiller!
pdfFiller is an end-to-end solution for managing, creating, and editing documents and forms in the cloud. Save time and hassle by preparing your tax forms online.

Mls Only And Listing is not the form you're looking for?Search for another form here.
Relevant keywords
Related Forms
If you believe that this page should be taken down, please follow our DMCA take down process
here
.
This form may include fields for payment information. Data entered in these fields is not covered by PCI DSS compliance.