Form preview

Get the free Admission Documents

Get Form
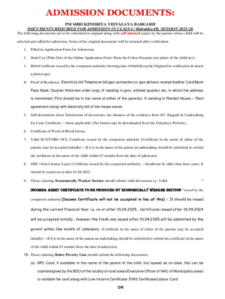
This document outlines the various documents required for parents whose child is selected for admission in Class I / Balvatika-III at PM Shri Kendriya Vidyalaya Bargarh for the academic session 2025-26.
We are not affiliated with any brand or entity on this form

Get, Create, Make and Sign admission documents

Edit
Edit your admission documents form online
Type text, complete fillable fields, insert images, highlight or blackout data for discretion, add comments, and more.
Add
Add your legally-binding signature
Draw or type your signature, upload a signature image, or capture it with your digital camera.
Share
Share your form instantly
Email, fax, or share your admission documents form via URL. You can also download, print, or export forms to your preferred cloud storage service.

How to edit admission documents online

9.5
Ease of Setup
pdfFiller User Ratings on G2
9.0
Ease of Use
pdfFiller User Ratings on G2
To use the services of a skilled PDF editor, follow these steps:
1
Log in to your account. Click Start Free Trial and register a profile if you don't have one yet.
2
Upload a document. Select Add New on your Dashboard and transfer a file into the system in one of the following ways: by uploading it from your device or importing from the cloud, web, or internal mail. Then, click Start editing.
3
Edit admission documents. Text may be added and replaced, new objects can be included, pages can be rearranged, watermarks and page numbers can be added, and so on. When you're done editing, click Done and then go to the Documents tab to combine, divide, lock, or unlock the file.
4
Save your file. Select it from your records list. Then, click the right toolbar and select one of the various exporting options: save in numerous formats, download as PDF, email, or cloud.
With pdfFiller, it's always easy to deal with documents.

Uncompromising security for your PDF editing and eSignature needs

Your private information is safe with pdfFiller. We employ end-to-end encryption, secure cloud storage, and advanced access control to protect your documents and maintain regulatory compliance.
GDPR
AICPA SOC 2
PCI
HIPAA
CCPA
FDA

How to fill out admission documents

Illustration

How to fill out admission documents

01
Gather necessary personal information such as your name, address, and contact details.
02
Include your academic history including schools attended, degrees earned, and dates of attendance.
03
Provide information about standardized test scores if required (e.g., SAT, ACT, GRE).
04
Complete any required personal statements or essays, ensuring to follow guidelines regarding length and topic.
05
Collect and attach recommendation letters from teachers, employers, or mentors as specified in the application instructions.
06
Review the admissions criteria for each institution and ensure all required documents are included.
07
Double-check for accuracy and completeness before submitting the documents.
08
Submit the admission documents by the deadline provided by the institution.

Who needs admission documents?

01
Prospective students applying for higher education programs.
02
High school graduates seeking admission to colleges or universities.
03
Individuals looking to transfer from one institution to another.
04
Non-traditional students returning to education after a break.
05
International students applying for study permits in foreign countries.

A Comprehensive Guide to Admission Documents Form

Understanding admission documents

Admission documents are essential paperwork required by educational institutions during the application process. These documents serve to verify an applicant's qualifications, experiences, and intentions, playing a pivotal role in the selection process. Each document must reflect authenticity and accuracy, as discrepancies can lead to admission delays or denials.

Accurate documentation in the admission process cannot be overlooked. Ensuring that all forms are filled out correctly and submitted on time improves your chances of a successful application. Moreover, admission committees often rely on these documents to assess an applicant's potential fit for their programs and overall qualification.

Application form: Typically the first step in any admission process.
Statements of purpose: Personal essays outlining your reasons for applying.
Letters of recommendation: Endorsements from educators or employers.
Academic transcripts: Official records of previous educational achievements.

Key admission documents

Essential admission documents typically include the application form, statement of purpose, letters of recommendation, and academic transcripts. Each of these documents carries specific weight in the admission decision-making process. For instance, while the application form collects basic personal information, the statement of purpose allows applicants to showcase their personality and aspirations.

Understanding the specifications for these documents is crucial. Most educational institutions will provide guidelines regarding the format and size of required submission, often preferring typed over handwritten responses. Additionally, keeping track of submission deadlines is vital to avoid missed opportunities during the admission cycle.

Format and size: Confirm acceptable document formats (PDF, DOCX) and specific size limitations.
Submission deadlines: Ensure timely submission as per stipulated dates on institutional websites.

Interactive tools for document preparation

Utilizing a comprehensive tool like PDFfiller can significantly streamline the process of preparing admission documents. With PDFfiller's editing features, users can modify templates, ensuring that applications reflect their unique qualifications right up until submission.

Here’s how to efficiently navigate the document preparation process using PDFfiller:

Accessing PDF templates: Start by finding the appropriate template from the PDFfiller library.
Editing fields and text: Customize your document with the needed information.
Adding digital signatures: Make your application legally binding with electronic signatures.
Collaborating with others for review: Share your documents with peers or mentors for feedback before submitting.

Best practices for managing admission documents

Managing your admission documents can be overwhelming, but organization is key. Start by creating a dedicated folder, both digitally and physically, to store copies of all admission-related documents. These copies ensure you have backups readily available for any unexpected issues during the application process.

Furthermore, tracking submission deadlines is a must. Utilizing a planner or digital calendar can help you adhere to timelines, ensuring that you do not miss crucial submission dates. While complex, staying on top of deadlines allows you to submit high-quality documents without last-minute stress.

Keeping digital copies: Store your documents on a cloud-based platform for easy access.
Tracking submission deadlines: Use reminders to avoid last-minute rushes.

Specific admission document forms

Different types of admission forms exist to cater to varying educational levels and demographics. For example, undergraduate admission forms typically require less documentation than graduate forms, which may include additional essays or research proposals. Additionally, international students may face unique requirements, such as proof of English proficiency.

Understanding the eligibility criteria for these document forms is essential. Ensure that the documentation you prepare meets the specific requirements of the program you are applying to, which varies widely across institutions and levels.

Undergraduate admission form: Typically requires basic personal, academic, and extracurricular information.
Graduate admission form: May involve detailed essays, research interests, and publication records.
International student additional requirements form: Usually necessitates proof of English proficiency and visa documents.

Additional documentation and provisional admission

For international students, additional documentation often includes proof of citizenship, passport copies, and specific visa-related papers. Understanding and compiling the necessary documents not only eases the application process but also reflects preparedness and seriousness towards admission.

Provisional admission is another concept to familiarize yourself with. This status means that an applicant is accepted but must provide additional documentation or meet certain conditions before fully enrolling. Recognizing the requirements for this status can help you prepare adequately.

Documents required for international students: Essential paperwork includes non-English transcripts and visa applications.
Understanding provisional admission: Ensure you know what additional documents or conditions apply to your status.

Support for admission document completion

Completing admission documents can be daunting, but support systems are in place to help navigate this process. PDFfiller offers a range of tools designed to assist users from start to finish, including live chat assistance for quick advice and a well-curated FAQ section addressing common concerns.

Utilizing these support tools not only enhances the document completion experience but also drives you towards a successful application. Whether you need guidance on filling out a specific form or troubleshooting an issue, access to dedicated support can be the difference between a hurried submission and a well-crafted application.

Live chat assistance: Get real-time support for form-related questions.
FAQs related to admission documents: Access common queries for more clarity.
Access to form templates: Choose from various formats optimized for specific documentation standards.

Navigating the admission process

Understanding the overall admission process can streamline your journey as an applicant. From the initial submission of documents to the subsequent review by the admissions committee, being informed keeps you ahead. Typically, this process involves various stages, including document gathering, submission, review, and final decisions.

Familiarity with the timeline for document submission is paramount. Each step often carries its specific deadlines, which can vary by academic year and institution. After submission, monitoring the progress of your application and following up appropriately demonstrates your enthusiasm and can keep you in the loop.

Overview of typical registration process: Familiarize yourself with the key steps involved from start to finish.
Timeline for admission document submission: Track deadlines set by your target institutions.
Follow-up steps after submission: Know how and when to check on your application status.

Questions and answers

As you prepare to submit your admission documents, you likely have many lingering questions. Addressing these frequently asked questions can clarify uncertainties regarding document requirements, application processes, and submission protocols.

Common inquiries often revolve around the specifics of each document, the best practices for gathering necessary materials, and what to do in the event of application errors. Being informed allows you to approach the application process confidently and comprehensively.

Frequently asked questions regarding admission documents: Compile a list of questions to ensure you cover all bases.
Answers to common concerns about document requirements: Seek clarity on what is strictly necessary versus optional documentation.

Contact information for further inquiries

For any additional questions or concerns regarding your admission documents, reaching out to the admissions offices of the institutions to which you're applying is key. They can clarify specific requirements based on your situation and respond to any queries about the forms or deadlines.

Additionally, using PDFfiller for ongoing document assistance makes it easier to manage your forms and applications. Whether you need to revise a document or further clarify your submissions, the support and tools available on PDFfiller can guide you throughout the admission process.

How to reach admission offices: Utilize institutional websites for contact information.
Utilizing PDFfiller for continued document assistance: Access various tools designed to aid in document management.
Fill form : Try Risk Free
Users Most Likely To Recommend - Summer 2025
Grid Leader in Small-Business - Summer 2025
High Performer - Summer 2025
Regional Leader - Summer 2025
Easiest To Do Business With - Summer 2025
Best Meets Requirements- Summer 2025
Rate the form
4.2
Satisfied
23 Votes

For pdfFiller’s FAQs

Below is a list of the most common customer questions. If you can’t find an answer to your question, please don’t hesitate to reach out to us.

In your inbox, you may use pdfFiller's add-on for Gmail to generate, modify, fill out, and eSign your admission documents and any other papers you receive, all without leaving the program. Install pdfFiller for Gmail from the Google Workspace Marketplace by visiting this link. Take away the need for time-consuming procedures and handle your papers and eSignatures with ease.
The premium subscription for pdfFiller provides you with access to an extensive library of fillable forms (over 25M fillable templates) that you can download, fill out, print, and sign. You won’t have any trouble finding state-specific admission documents and other forms in the library. Find the template you need and customize it using advanced editing functionalities.
Yes, you can. With pdfFiller, you not only get a feature-rich PDF editor and fillable form builder but a powerful e-signature solution that you can add directly to your Chrome browser. Using our extension, you can create your legally-binding eSignature by typing, drawing, or capturing a photo of your signature using your webcam. Choose whichever method you prefer and eSign your admission documents in minutes.
Admission documents are official papers required for entry into a program, institution, or organization, detailing personal and educational information.
Individuals seeking admission to educational institutions or organizations, including students and trainees, are required to file admission documents.
To fill out admission documents, carefully provide the requested information, ensuring accuracy and completeness, and follow any specific instructions provided by the institution.
The purpose of admission documents is to gather necessary information for the evaluation and selection process of candidates applying for admission.
Admission documents typically require personal information, academic records, letters of recommendation, and any relevant test scores or personal statements.
Fill out your admission documents online with pdfFiller!

pdfFiller is an end-to-end solution for managing, creating, and editing documents and forms in the cloud. Save time and hassle by preparing your tax forms online.

Get started now
Form preview
If you believe that this page should be taken down, please follow our DMCA take down process here .
This form may include fields for payment information. Data entered in these fields is not covered by PCI DSS compliance.