Get the free Agreement Between Owner and Contractor for Construction Contract (stipulated Price)
Show details
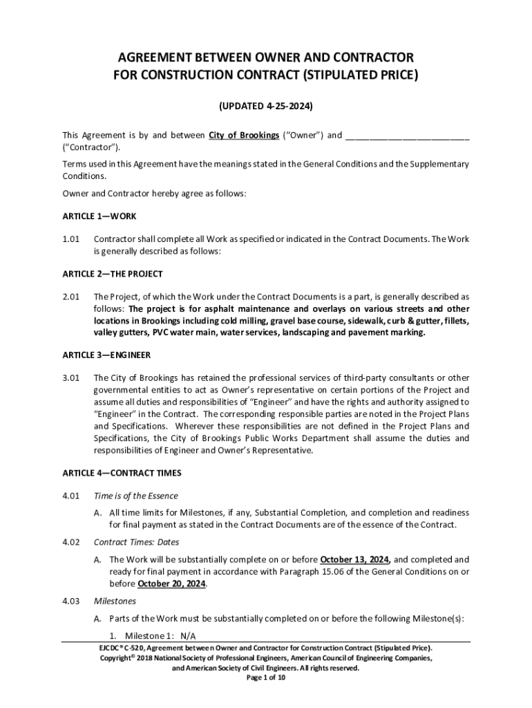
This document outlines the agreement between the City of Brookings (Owner) and the Contractor for the construction project involving asphalt maintenance and overlays, including various related works.
We are not affiliated with any brand or entity on this form
Get, Create, Make and Sign agreement between owner and
Edit your agreement between owner and form online
Type text, complete fillable fields, insert images, highlight or blackout data for discretion, add comments, and more.
Add your legally-binding signature
Draw or type your signature, upload a signature image, or capture it with your digital camera.
Share your form instantly
Email, fax, or share your agreement between owner and form via URL. You can also download, print, or export forms to your preferred cloud storage service.
Editing agreement between owner and online
Follow the guidelines below to take advantage of the professional PDF editor:
1
Register the account. Begin by clicking Start Free Trial and create a profile if you are a new user.
2
Prepare a file. Use the Add New button to start a new project. Then, using your device, upload your file to the system by importing it from internal mail, the cloud, or adding its URL.
3
Edit agreement between owner and. Rearrange and rotate pages, add and edit text, and use additional tools. To save changes and return to your Dashboard, click Done. The Documents tab allows you to merge, divide, lock, or unlock files.
4
Get your file. Select your file from the documents list and pick your export method. You may save it as a PDF, email it, or upload it to the cloud.
The use of pdfFiller makes dealing with documents straightforward. Try it right now!
Uncompromising security for your PDF editing and eSignature needs
Your private information is safe with pdfFiller. We employ end-to-end encryption, secure cloud storage, and advanced access control to protect your documents and maintain regulatory compliance.
How to fill out agreement between owner and
How to fill out agreement between owner and
01
Start with the title of the agreement at the top of the document.
02
Include the names and contact information of both the owner and the party entering into the agreement.
03
Clearly define the purpose of the agreement.
04
Outline the terms and conditions, including duration, payment details, and duties of each party.
05
Add any necessary legal clauses, such as dispute resolution and termination conditions.
06
Review the agreement for accuracy and clarity.
07
Both parties should sign and date the document.
08
Provide copies of the signed agreement to all involved parties.
Who needs agreement between owner and?
01
Property owners looking to rent or lease their property.
02
Tenants or renters seeking to secure a rental agreement.
03
Businesses needing to formalize contracts for services or lease agreements.
04
Real estate agents or brokers facilitating transactions between owners and clients.
Fill
form
: Try Risk Free
For pdfFiller’s FAQs
Below is a list of the most common customer questions. If you can’t find an answer to your question, please don’t hesitate to reach out to us.
How do I complete agreement between owner and online?
pdfFiller has made it easy to fill out and sign agreement between owner and. You can use the solution to change and move PDF content, add fields that can be filled in, and sign the document electronically. Start a free trial of pdfFiller, the best tool for editing and filling in documents.
Can I create an electronic signature for signing my agreement between owner and in Gmail?
Use pdfFiller's Gmail add-on to upload, type, or draw a signature. Your agreement between owner and and other papers may be signed using pdfFiller. Register for a free account to preserve signed papers and signatures.
Can I edit agreement between owner and on an iOS device?
You certainly can. You can quickly edit, distribute, and sign agreement between owner and on your iOS device with the pdfFiller mobile app. Purchase it from the Apple Store and install it in seconds. The program is free, but in order to purchase a subscription or activate a free trial, you must first establish an account.
What is agreement between owner and?
An agreement between owner and another party typically outlines the terms of a contract, detailing responsibilities, rights, and obligations of both parties involved in a transaction or relationship.
Who is required to file agreement between owner and?
The party that is legally obligated to file the agreement often depends on the nature of the agreement; usually, it is the owner or their representative, such as a lawyer or real estate agent, who is required to submit the necessary documentation.
How to fill out agreement between owner and?
To fill out the agreement, both parties should provide their respective details, including names, addresses, terms of the agreement, and any specific obligations or rights. It's important to review the document thoroughly and ensure all legal requirements are met before signing.
What is the purpose of agreement between owner and?
The purpose of the agreement is to formalize the relationship between the owner and the other party, ensuring that both parties have a clear understanding of the terms, preventing misunderstandings, and providing a legally enforceable document.
What information must be reported on agreement between owner and?
The information that must be reported includes the names and contact details of both parties, the description of the subject matter, payment terms, duration of the agreement, and any conditions or clauses relevant to the agreement.
Fill out your agreement between owner and online with pdfFiller!
pdfFiller is an end-to-end solution for managing, creating, and editing documents and forms in the cloud. Save time and hassle by preparing your tax forms online.
Agreement Between Owner And is not the form you're looking for?Search for another form here.
Relevant keywords
If you believe that this page should be taken down, please follow our DMCA take down process
here
.
This form may include fields for payment information. Data entered in these fields is not covered by PCI DSS compliance.