
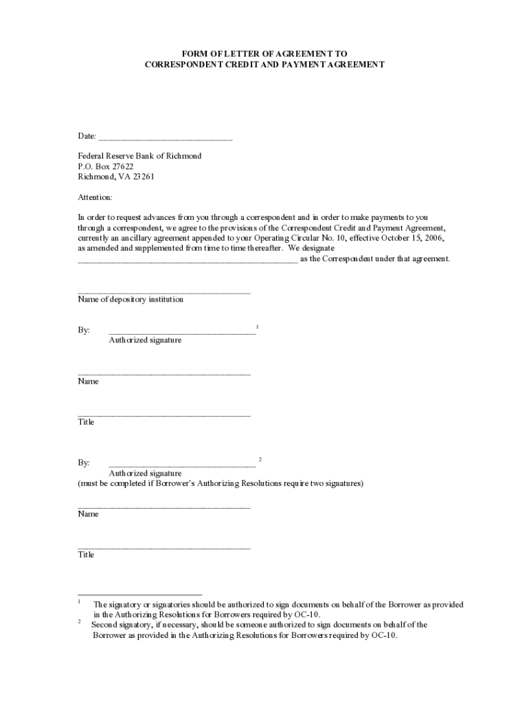
Get the free Form of Letter of Agreement to Correspondent Credit and Payment Agreement
Get, Create, Make and Sign form of letter of



How to edit form of letter of online
Uncompromising security for your PDF editing and eSignature needs
How to fill out form of letter of

How to fill out form of letter of
Who needs form of letter of?
Form of Letter of Form: A Comprehensive Guide
Understanding the form of letter of form
A form of letter, often referred to as a form letter, is a standardized document used to address common situations or queries. These letters are designed to provide a consistent format and message, enabling individuals or organizations to communicate efficiently without needing to start from scratch each time. The importance of form letters in documentation and communication cannot be overstated, as they save time and reduce the margin for error.
Common applications of form letters include customer notifications, job applications, and official correspondence, providing a framework that ensures professionalism and clarity. Form letters also imbue a sense of reliability and authority in communication, especially in formal settings.
When to use a form of letter
There are specific situations that necessitate formal communication through the use of a form of letter. Whether in business dealings, legal contexts, or personal communications, understanding the right moment to employ a form letter can enhance clarity. Examples include job inquiries, formal invitations, complaint letters, and any communication that requires adherence to professional standards.
Utilizing form letters in these contexts offers notable benefits. First, they help ensure information is conveyed clearly and accurately. Second, they save time, allowing individuals to focus on other essential tasks. Third, using a standardized template can improve the overall image of an organization by maintaining consistent communication across different correspondences.
Key components of a form of letter
A well-structured form of letter contains key elements that contribute to its professionalism and clarity. These components include:
Step-by-step guide to writing a form of letter
Writing a form of letter can be streamlined into several actionable steps:
Common mistakes and how to avoid them
Form letters, while efficient, can easily suffer from common pitfalls. Errors in addressing the recipient, for example, can miscommunicate intent. Formatting issues can make the letter appear unprofessional, while misuse of formal language can alienate the reader. Oversights regarding signature requirements can result in a document that lacks authoritative weight.
To avoid these mistakes, always double-check names and addresses, adhere to intended formatting guidelines, be mindful of the tone, and ensure appropriate signatures are present before sending.
Examples of form of letters
The versatility of form letters can be seen in various contexts. For business purposes, common examples include:
For personal use, form letters might include acknowledgment messages such as thank you letters or event invitations. Utilizing templates for these letters can enhance efficiency and coherence.
Utilizing templates for efficiency
Leveraging templates when writing a form of letter can greatly enhance productivity. They allow for quicker document creation while ensuring consistency in messaging. Templates often come with various customizable features, enabling users to adapt them to their specific needs.
Using pdfFiller, for example, individuals can easily customize templates by adding interactive features, incorporating eSignature options, and selecting from categories tailored for different purposes such as business correspondence or personal notes.
Legal and ethical considerations
Form letters must be approached with a keen awareness of legal and ethical considerations. Understanding the consent required in written communication prevents potential disputes. Furthermore, accuracy and honesty are paramount; misrepresentation or misleading information can lead to serious ramifications.
Ensuring that each form letter upholds integrity not only protects the sender but also fosters trust with recipients, crucial in professional relationships.
Further customization options with pdfFiller
With pdfFiller, users benefit from a suite of editing tools that extend the capabilities of standard documents. Collaborative features assist teams in streamlining their workflows, making it easier to share, manage, and store form letters efficiently.
These options not only enhance document management but also ensure that everyone involved can access the necessary information from any location, supporting a more agile and responsive communication strategy.
Frequently asked questions about form letters
When considering form letters, users often have questions such as the difference between form letters and free-form letters. Form letters are structured and standardized, while free-form letters allow for more personal expression. Determining the right tone for a form letter is also vital; it usually aligns with the purpose and audience of the communication.
Most importantly, fundamental elements in a form letter include a clear subject, concise language, and a polite sign-off, which together convey professionalism and respect.
Resources for additional help
For those interested in exploring more about form letters, resources such as templates and tools offered by pdfFiller can provide significant assistance. Engaging in workshops or webinars that focus on document creation and management will enhance one's ability to utilize form letters effectively, promoting best practices in various communication scenarios.
For pdfFiller’s FAQs
Below is a list of the most common customer questions. If you can’t find an answer to your question, please don’t hesitate to reach out to us.
How can I get form of letter of?
How do I edit form of letter of in Chrome?
How can I fill out form of letter of on an iOS device?
What is form of letter of?
Who is required to file form of letter of?
How to fill out form of letter of?
What is the purpose of form of letter of?
What information must be reported on form of letter of?
pdfFiller is an end-to-end solution for managing, creating, and editing documents and forms in the cloud. Save time and hassle by preparing your tax forms online.
