Get the free Buyer Broker Agreement
Show details
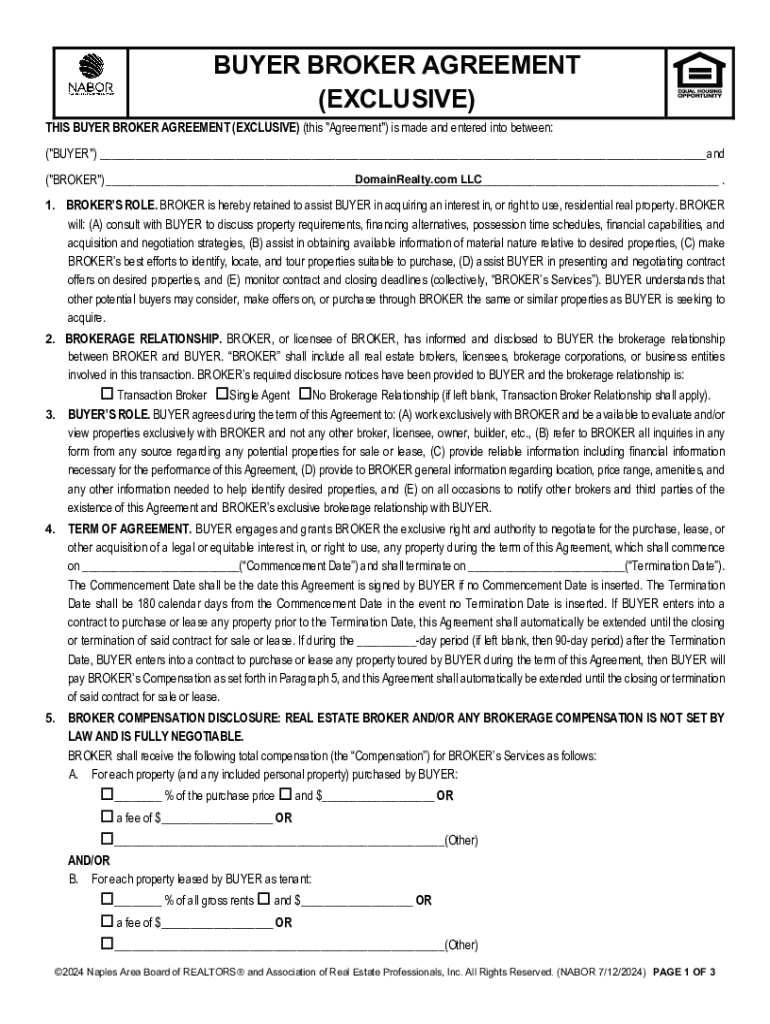
This document serves as a legally binding agreement between the Buyer and the Broker, outlining the terms of the exclusive representation of the Buyer by the Broker for the acquisition of residential
We are not affiliated with any brand or entity on this form
Get, Create, Make and Sign buyer broker agreement
Edit your buyer broker agreement form online
Type text, complete fillable fields, insert images, highlight or blackout data for discretion, add comments, and more.
Add your legally-binding signature
Draw or type your signature, upload a signature image, or capture it with your digital camera.
Share your form instantly
Email, fax, or share your buyer broker agreement form via URL. You can also download, print, or export forms to your preferred cloud storage service.
Editing buyer broker agreement online
Follow the steps down below to benefit from the PDF editor's expertise:
1
Log in to your account. Click on Start Free Trial and register a profile if you don't have one yet.
2
Prepare a file. Use the Add New button. Then upload your file to the system from your device, importing it from internal mail, the cloud, or by adding its URL.
3
Edit buyer broker agreement. Add and change text, add new objects, move pages, add watermarks and page numbers, and more. Then click Done when you're done editing and go to the Documents tab to merge or split the file. If you want to lock or unlock the file, click the lock or unlock button.
4
Save your file. Select it in the list of your records. Then, move the cursor to the right toolbar and choose one of the available exporting methods: save it in multiple formats, download it as a PDF, send it by email, or store it in the cloud.
With pdfFiller, it's always easy to work with documents. Try it out!
Uncompromising security for your PDF editing and eSignature needs
Your private information is safe with pdfFiller. We employ end-to-end encryption, secure cloud storage, and advanced access control to protect your documents and maintain regulatory compliance.
How to fill out buyer broker agreement
How to fill out buyer broker agreement
01
Begin by downloading a buyer broker agreement template from a reliable source or ask your real estate agent for one.
02
Fill in the date at the top of the agreement.
03
Provide your full name and contact information as the buyer.
04
Enter the broker's name, company, and contact details.
05
Specify the property type you are interested in (e.g., residential, commercial).
06
Define the duration of the agreement—how long the broker will represent you.
07
Outline the commission structure and how it will be paid (e.g., percentage of the purchase price).
08
Include any special terms or conditions you want to establish.
09
Review the agreement thoroughly to ensure all information is correct.
10
Sign and date the document, and request a copy for your records.
Who needs buyer broker agreement?
01
Anyone planning to buy real estate who wants exclusive representation from a broker.
02
First-time home buyers who need guidance through the buying process.
03
Investors looking for properties and market insights.
04
Individuals who want to ensure they have professional help in negotiations and paperwork.
Fill
form
: Try Risk Free
For pdfFiller’s FAQs
Below is a list of the most common customer questions. If you can’t find an answer to your question, please don’t hesitate to reach out to us.
How can I modify buyer broker agreement without leaving Google Drive?
Using pdfFiller with Google Docs allows you to create, amend, and sign documents straight from your Google Drive. The add-on turns your buyer broker agreement into a dynamic fillable form that you can manage and eSign from anywhere.
How do I fill out the buyer broker agreement form on my smartphone?
You can easily create and fill out legal forms with the help of the pdfFiller mobile app. Complete and sign buyer broker agreement and other documents on your mobile device using the application. Visit pdfFiller’s webpage to learn more about the functionalities of the PDF editor.
Can I edit buyer broker agreement on an Android device?
The pdfFiller app for Android allows you to edit PDF files like buyer broker agreement. Mobile document editing, signing, and sending. Install the app to ease document management anywhere.
What is buyer broker agreement?
A buyer broker agreement is a contract between a buyer and a real estate broker that establishes the broker's right to represent the buyer in real estate transactions.
Who is required to file buyer broker agreement?
Typically, the buyer is required to sign and file the buyer broker agreement to formally establish the relationship between the buyer and the broker.
How to fill out buyer broker agreement?
To fill out a buyer broker agreement, the buyer should provide their personal information, specify the terms of the agreement, including duration and commission structure, and sign the document in the presence of the broker.
What is the purpose of buyer broker agreement?
The purpose of a buyer broker agreement is to protect the interests of both the buyer and the broker, ensuring that the broker is compensated for their services while outlining the duties and obligations of each party.
What information must be reported on buyer broker agreement?
The buyer broker agreement must include the names of the buyer and broker, a description of the property type, the duration of the agreement, the commission rate, and any specific terms related to the representation.
Fill out your buyer broker agreement online with pdfFiller!
pdfFiller is an end-to-end solution for managing, creating, and editing documents and forms in the cloud. Save time and hassle by preparing your tax forms online.
Buyer Broker Agreement is not the form you're looking for?Search for another form here.
Relevant keywords
Related Forms
If you believe that this page should be taken down, please follow our DMCA take down process
here
.
This form may include fields for payment information. Data entered in these fields is not covered by PCI DSS compliance.