Get the free Bronze Sponsorship Agreement - archive rcgov
Show details
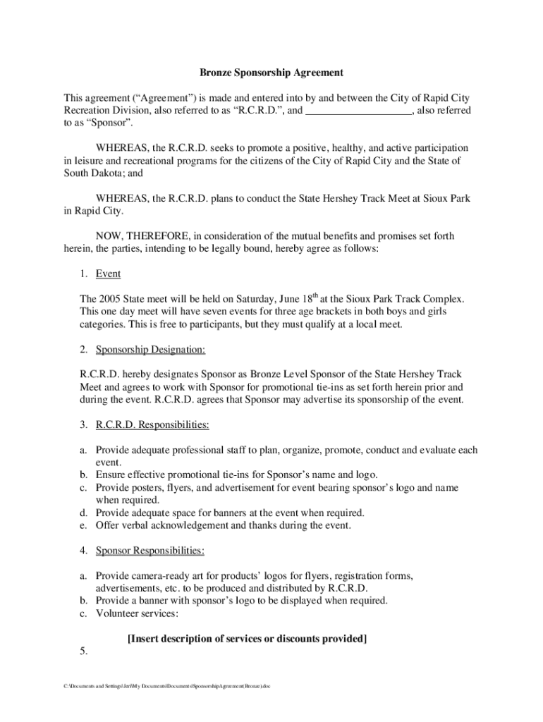
Este acuerdo establece los trminos y condiciones entre la Ciudad de Rapid City y el patrocinador para el evento State Hershey Track Meet, con la designacin de patrocinador de nivel bronce.
We are not affiliated with any brand or entity on this form
Get, Create, Make and Sign bronze sponsorship agreement
Edit your bronze sponsorship agreement form online
Type text, complete fillable fields, insert images, highlight or blackout data for discretion, add comments, and more.
Add your legally-binding signature
Draw or type your signature, upload a signature image, or capture it with your digital camera.
Share your form instantly
Email, fax, or share your bronze sponsorship agreement form via URL. You can also download, print, or export forms to your preferred cloud storage service.
How to edit bronze sponsorship agreement online
Here are the steps you need to follow to get started with our professional PDF editor:
1
Log in. Click Start Free Trial and create a profile if necessary.
2
Upload a file. Select Add New on your Dashboard and upload a file from your device or import it from the cloud, online, or internal mail. Then click Edit.
3
Edit bronze sponsorship agreement. Replace text, adding objects, rearranging pages, and more. Then select the Documents tab to combine, divide, lock or unlock the file.
4
Save your file. Select it in the list of your records. Then, move the cursor to the right toolbar and choose one of the available exporting methods: save it in multiple formats, download it as a PDF, send it by email, or store it in the cloud.
With pdfFiller, dealing with documents is always straightforward.
Uncompromising security for your PDF editing and eSignature needs
Your private information is safe with pdfFiller. We employ end-to-end encryption, secure cloud storage, and advanced access control to protect your documents and maintain regulatory compliance.
How to fill out bronze sponsorship agreement
How to fill out bronze sponsorship agreement
01
Begin by reviewing the sponsorship agreement template to understand all terms and conditions.
02
Fill in the sponsoring organization's name and contact information in the designated fields.
03
Specify the event or activity for which sponsorship is being provided.
04
Outline the details of the sponsorship package, including benefits and recognition.
05
Indicate the total sponsorship amount being contributed.
06
Include the payment terms, including deadlines and methods of payment.
07
Provide any additional terms or clauses as needed.
08
Review the completed agreement for accuracy and completeness.
09
Sign the agreement and provide a copy to the sponsoring organization.
Who needs bronze sponsorship agreement?
01
Businesses or organizations looking to promote their brand through event sponsorship.
02
Non-profits seeking funding to support their events.
03
Event organizers looking for financial support to enhance their activities.
04
Marketing teams aiming to increase visibility and reach within a specific community.
Fill
form
: Try Risk Free
For pdfFiller’s FAQs
Below is a list of the most common customer questions. If you can’t find an answer to your question, please don’t hesitate to reach out to us.
How can I send bronze sponsorship agreement for eSignature?
Once your bronze sponsorship agreement is complete, you can securely share it with recipients and gather eSignatures with pdfFiller in just a few clicks. You may transmit a PDF by email, text message, fax, USPS mail, or online notarization directly from your account. Make an account right now and give it a go.
How do I make edits in bronze sponsorship agreement without leaving Chrome?
bronze sponsorship agreement can be edited, filled out, and signed with the pdfFiller Google Chrome Extension. You can open the editor right from a Google search page with just one click. Fillable documents can be done on any web-connected device without leaving Chrome.
Can I edit bronze sponsorship agreement on an Android device?
With the pdfFiller Android app, you can edit, sign, and share bronze sponsorship agreement on your mobile device from any place. All you need is an internet connection to do this. Keep your documents in order from anywhere with the help of the app!
What is bronze sponsorship agreement?
A bronze sponsorship agreement is a contract outlining the terms and conditions under which a sponsor provides financial or material support to an event, organization, or initiative in exchange for certain promotional opportunities and benefits.
Who is required to file bronze sponsorship agreement?
Typically, the sponsor or sponsoring organization that wishes to provide support in exchange for promotional benefits is required to file a bronze sponsorship agreement.
How to fill out bronze sponsorship agreement?
To fill out a bronze sponsorship agreement, the sponsor should provide essential details such as the sponsor's name, contact information, the event details, sponsorship amount, and any agreed-upon promotional benefits or requirements.
What is the purpose of bronze sponsorship agreement?
The purpose of a bronze sponsorship agreement is to formalize the relationship between the sponsor and the event or organization, ensure clarity on expectations, benefits, and responsibilities, and provide legal protection for both parties.
What information must be reported on bronze sponsorship agreement?
The information that must be reported on a bronze sponsorship agreement typically includes the names of the parties involved, contact information, sponsorship amount, payment terms, duration of sponsorship, benefits provided to the sponsor, and any obligations of both parties.
Fill out your bronze sponsorship agreement online with pdfFiller!
pdfFiller is an end-to-end solution for managing, creating, and editing documents and forms in the cloud. Save time and hassle by preparing your tax forms online.
Bronze Sponsorship Agreement is not the form you're looking for?Search for another form here.
Relevant keywords
If you believe that this page should be taken down, please follow our DMCA take down process
here
.
This form may include fields for payment information. Data entered in these fields is not covered by PCI DSS compliance.