
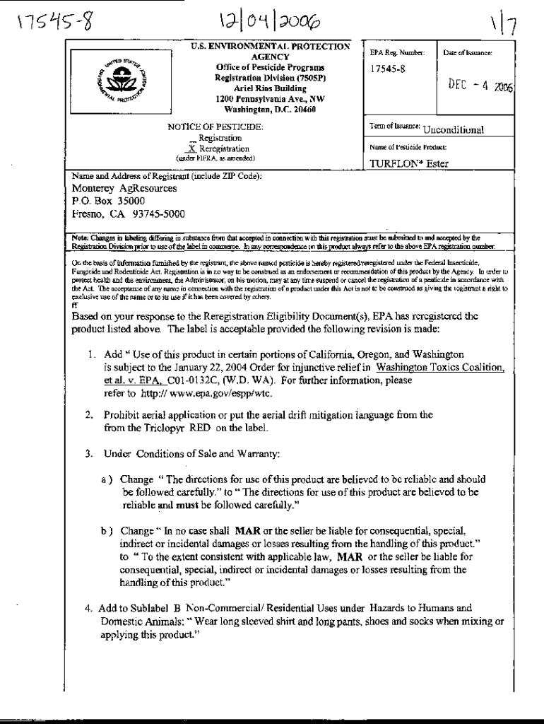
Get the free U.S. EPA, Pesticide Product Label, TURFLON ESTER F, 11 ...
Get, Create, Make and Sign us epa pesticide product



Editing us epa pesticide product online
Uncompromising security for your PDF editing and eSignature needs
How to fill out us epa pesticide product

How to fill out us epa pesticide product
Who needs us epa pesticide product?
Understanding the US EPA Pesticide Product Form: A Comprehensive Guide
Understanding the US EPA pesticide product form
The US Environmental Protection Agency (EPA) serves as the primary government organization responsible for protecting human health and the environment. Its role in regulating pesticides is crucial for ensuring that these substances do not pose unreasonable risks to the public or the ecosystem. The pesticide registration process involves a thorough scientific review that evaluates safety, efficacy, and overall environmental impact. By ensuring compliance through the right forms, the EPA helps to maintain agricultural integrity while safeguarding our health.
One integral aspect of this regulatory framework is the pesticide product form. This document requires detailed information about the pesticide being registered—ranging from its ingredients to labeling specifics. Properly completing the pesticide product form is essential for compliance with federal law, ensuring that products meet the necessary safety and efficacy standards before they can be marketed or used.
Components of the pesticide product form
The pesticide product form is meticulously structured to gather comprehensive information across various sections. Understanding what each section entails is critical for successful submissions. Let's break down the form to facilitate better compliance and awareness among applicants.
Step-by-step instructions for completing the pesticide product form
Successfully navigating the pesticide registration process begins with gathering the necessary information. Start by compiling all relevant data, utilizing internal resources and existing documents to facilitate an accurate and comprehensive submission.
When filling out the pesticide product form, applicants have the option to submit it either online or on paper. Online submissions via the EPA’s official website provide a more straightforward process, often with prompts to ensure accuracy. Common pitfalls include mislabeling products or providing incomplete information; double-check every detail to avoid delays in processing.
After filling out the form, whether paper or electronic, it is important to understand the submission methods available. Online forms are often easier, allowing applicants to receive standing alerts directly from the EPA regarding their submissions. Knowing what to expect post-submission—like tracking your application status—is crucial for managing timelines and expectations.
Tools and resources for effective form management
Utilizing tools like pdfFiller transforms the completion and management of the pesticide product form into a seamless experience. This platform empowers users to fill out PDFs easily while providing robust editing and collaboration capabilities. By accessing pdfFiller, applicants can manage their documents from anywhere, making it easier to meet all regulatory requirements.
The platform’s collaborative features allow multiple team members to work on the document simultaneously, enhancing efficiency. With eSigning capabilities, sending forms with digital signatures assures that submissions are both timely and compliant, streamlining the overall registration process.
Furthermore, to keep track of your submission, utilizing pdfFiller’s tracking features aids in monitoring essential timelines. Keeping clear records of communication with the EPA can help mitigate concerns regarding processing delays.
Common challenges and solutions in the pesticide registration process
Submitting the pesticide product form doesn't come without challenges. Common errors include submission of out-of-date products or incorrect labeling, which can lead to significant delays or rejection of the application. To rectify these issues, applicants should create a checklist highlighting critical areas to review before submission.
Navigating the complex regulatory environment surrounding pesticide registration can also be daunting. Leverage resources like industry groups and consulting professionals to gain insights and clarity. Many applicants experience processing delays; if there are unforeseen hold-ups, reach out to the EPA for updates or guidance on potential next steps.
Best practices for successful pesticide registration
Staying informed about evolving pesticide regulations is vital for continuous compliance and successful registration. Resources like EPA alerts and ongoing education initiatives are instrumental in keeping applicants up-to-date.
Building a support system through expert networks can also significantly ease the pesticide registration process. Engaging with industry groups or forums can provide valuable insight and tips based on experiences from fellow users.
Additionally, maintaining accurate records and documentation of submissions not only helps track individual applications but also establishes a reliable reference for future filings. Consistent configuration and thorough archival of these records contribute to smoother processes in subsequent registrations.
Conclusion and next steps after form submission
After submitting the pesticide product form, monitoring the status of your application becomes paramount. Understanding the EPA’s review process helps applicants anticipate timelines and make necessary arrangements for follow-up. Keeping communication lines open with the agency can facilitate updates and insights.
Should your application be approved, you will receive guidance on integrating your product into the market. Conversely, if rejected, the EPA will typically provide specific reasons, which can serve as critical learning opportunities. Prepare for future submissions by drawing upon this experience; adapting past learnings will promote greater efficiency and compliance in in future registrations.
For pdfFiller’s FAQs
Below is a list of the most common customer questions. If you can’t find an answer to your question, please don’t hesitate to reach out to us.
How can I edit us epa pesticide product from Google Drive?
How do I edit us epa pesticide product in Chrome?
How do I complete us epa pesticide product on an iOS device?
What is us epa pesticide product?
Who is required to file us epa pesticide product?
How to fill out us epa pesticide product?
What is the purpose of us epa pesticide product?
What information must be reported on us epa pesticide product?
pdfFiller is an end-to-end solution for managing, creating, and editing documents and forms in the cloud. Save time and hassle by preparing your tax forms online.
