Form preview

Get the free Zegee Informed Consent Form for Physical Fitness - Fill ...

Get Form
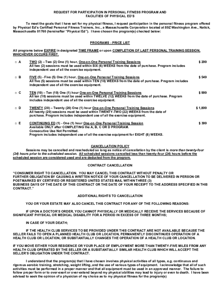
REQUEST FOR PARTICIPATION IN PERSONAL FITNESS PROGRAM AND FACILITIES OF PHYSICAL EDS To meet the goals that I have set for my physical fitness, I request participation in the personal fitness program
We are not affiliated with any brand or entity on this form

Get, Create, Make and Sign zegee informed consent form

Edit
Edit your zegee informed consent form form online
Type text, complete fillable fields, insert images, highlight or blackout data for discretion, add comments, and more.
Add
Add your legally-binding signature
Draw or type your signature, upload a signature image, or capture it with your digital camera.
Share
Share your form instantly
Email, fax, or share your zegee informed consent form form via URL. You can also download, print, or export forms to your preferred cloud storage service.

How to edit zegee informed consent form online

9.5
Ease of Setup
pdfFiller User Ratings on G2
9.0
Ease of Use
pdfFiller User Ratings on G2
To use the professional PDF editor, follow these steps below:
1
Log in. Click Start Free Trial and create a profile if necessary.
2
Simply add a document. Select Add New from your Dashboard and import a file into the system by uploading it from your device or importing it via the cloud, online, or internal mail. Then click Begin editing.
3
Edit zegee informed consent form. Add and change text, add new objects, move pages, add watermarks and page numbers, and more. Then click Done when you're done editing and go to the Documents tab to merge or split the file. If you want to lock or unlock the file, click the lock or unlock button.
4
Save your file. Select it from your list of records. Then, move your cursor to the right toolbar and choose one of the exporting options. You can save it in multiple formats, download it as a PDF, send it by email, or store it in the cloud, among other things.
pdfFiller makes dealing with documents a breeze. Create an account to find out!

Uncompromising security for your PDF editing and eSignature needs

Your private information is safe with pdfFiller. We employ end-to-end encryption, secure cloud storage, and advanced access control to protect your documents and maintain regulatory compliance.
GDPR
AICPA SOC 2
PCI
HIPAA
CCPA
FDA

How to fill out zegee informed consent form

Illustration

How to fill out zegee informed consent form

01
Read the entire form carefully to understand the information being requested.
02
Enter the participant's name and contact information in the designated fields.
03
Specify the purpose of the study or procedure clearly.
04
Outline the expected benefits and any potential risks associated with participation.
05
Include details on confidentiality and data handling procedures.
06
Provide information on the duration of participation and what it involves.
07
Ensure that the participant is informed about their right to withdraw at any time.
08
Include a section for the participant to sign and date the form, indicating their consent.
09
Have a witness or a representative sign the form if required.
10
Make a copy of the signed form for the participant's records.

Who needs zegee informed consent form?

01
Individuals participating in research studies or clinical trials.
02
Researchers conducting studies that involve human subjects.
03
Ethics committees overseeing research involving human participants.
04
Institutional Review Boards (IRBs) that ensure participant rights are protected.

Zegee informed consent form how-to guide

Understanding the Zegee informed consent form

The Zegee informed consent form is a crucial instrument used primarily in medical and research contexts to obtain authorization from participants. It serves as a documented agreement that informs individuals about the procedures they will undergo, the associated risks, benefits, and their rights as participants. This document ensures compliance with ethical standards and legal requirements, fostering transparency in the consent process.

Definition: It outlines the expectations and responsibilities of both participants and researchers.
Purpose: Ensures participants are fully aware of what participation entails.
Importance: Protects the rights of individuals and serves as a legal safeguard.

Key components of the form

The structure of the Zegee informed consent form comprises several essential sections. These components are designed to provide clarity and ensure that participants understand the entire scope of what they are consenting to. Understanding these sections is vital for accurate completion and compliance.

Personal information section: This part gathers the participant's details.
Procedural description: Clearly delineates the procedure involved in the participation.
Risks and benefits: Provides both potential advantages and anticipated disadvantages of participation.
Participant rights: Informs individuals of their rights during the study.
Signature and date: Captures the participant's agreement and the date of consent.

Overview of the PDFfiller platform

PDFfiller represents an innovative cloud-based document management solution that empowers users to create, edit, and manage PDF forms like the Zegee informed consent form seamlessly. This platform also enhances collaboration and ensures documents are stored securely in the cloud.

Accessibility: Users can access their documents from anywhere.
Collaboration: Real-time editing and collaboration features enable multiple users to work simultaneously.
Editing capabilities: Easily modify text and structure within the consent form.
E-signature solutions: Facilitates secure document signing digitally, ensuring legal compliance.

How to obtain and access the Zegee informed consent form

Acquiring the Zegee informed consent form through PDFfiller is straightforward. Users can quickly navigate the platform to locate the required form in various formats, making it adaptable to different contexts and preferences.

Step 1: Visit PDFfiller and utilize the search bar to locate the Zegee informed consent form.
Step 2: Select the desired format (PDF or Word) depending on your editing needs.
Step 3: Download the form directly to your device for editing.

Choosing the appropriate format is crucial; for instance, PDF is ideal for finalizing the document while Word formats allow more flexibility for edits.

Filling out the Zegee informed consent form

Completing the Zegee informed consent form requires careful attention to detail. Each section has unique information that must be accurately provided to ensure clarity and compliance.

Entering personal information: Make sure to fill in the participant's correct details like name and contact info.
Describing procedures: Provide a detailed explanation of the process the participants will undergo.
Identifying risks and benefits: Transparently outlining all possible impacts promotes ethical standards.
Understanding participant rights: Clearly explain the rights the participant is entitled to during the study.
Final confirmation: Encourage a review of the form by both the facilitator and participant for accuracy.

Ensuring that all these points are addressed reduces the likelihood of common mistakes, enhancing the overall integrity of the informed consent process.

Common mistakes to avoid

While filling out the Zegee informed consent form, common errors can compromise the clarity and compliance of the document. Being aware of these pitfalls can streamline the consent process.

Omitting crucial details: Always ensure all required personal details are provided.
Ambiguity in procedures: Clearly articulate what participants are consenting to avoid confusion.
Failure to enumerate risks and benefits: Transparency is key; misspelling any potential impacts can lead to serious issues.
Neglecting participant rights: Always highlight participants' rights to ensure they fully understand their privileges.
Skipping the review process: Both facilitators and participants should double-check the completed form before signing.

Editing the Zegee informed consent form

Editing the Zegee informed consent form using PDFfiller’s tools is straightforward, allowing users to customize the document to better fit their specific requirements. This adaptability is beneficial, especially for organizations with unique consent needs.

Utilizing PDFfiller’s Editing Tools: Access the editing features that allow for easy modifications of text and layout.
Adding and Removing Sections: Ensure the form meets your requirements by including or excluding certain sections as necessary.

Customizing the form can significantly impact the user's understanding, thereby enhancing the informed consent process overall.

Signing the Zegee informed consent form

Signing the Zegee informed consent form marks the formal agreement between the participant and the facilitator. Using PDFfiller's e-signature feature not only simplifies the signing process, but it also ensures that legal standards are met, providing security and validity.

E-signing with PDFfiller: Follow the prompts to sign your form electronically, facilitating a quick and secure process.
Compliance and Legal Considerations: Understanding the importance of security measures around e-signatures to maintain document integrity is essential.

E-signatures allow for immediate execution of the consent form while ensuring that compliance with legal frameworks is maintained.

Managing and storing the completed Zegee informed consent form

After completing and signing the Zegee informed consent form, the next critical step involves proper management and storage. PDFfiller offers cloud functionalities that streamline document retention and retrieval.

Uploading to the PDFfiller Cloud: Safely store your signed documents in a secure cloud environment.
Sharing Options: Leverage PDFfiller’s sharing features to distribute the consent form to relevant stakeholders.
Tracking Changes and Versions: Use the version control features to monitor any alterations made to the document, ensuring compliance.

Effective management of completed forms plays a pivotal role in maintaining organizational records and adhering to policies and regulations.

FAQs about the Zegee informed consent form

Understanding common queries associated with the Zegee informed consent form can enhance clarity and confidence in the consent process. Addressing these frequently asked questions is vital for both facilitators and participants.

What to do if someone refuses to sign: Discuss alternative options and the implications of withdrawal of consent.
How to explain the form to potential participants: Key points to communicate to ensure understanding.

Additionally, it may be beneficial to seek support through designated channels in case issues arise during the process.

Enhancing the use of the Zegee informed consent form

Maximizing the effectiveness of the Zegee informed consent form involves integrating it with other related documents and ensuring a continuous feedback loop from participants.

Integrating with Other Forms: Suggestions for modifying the form to match other documentation requirements for a comprehensive consent process.
Feedback Mechanisms: Establish methods for participants to provide feedback post-consent, encouraging continuous improvement.

These strategies not only enhance the quality of informed consent but also improve overall participant satisfaction, ensuring a respectful and ethical engagement throughout the consent process.

Fill form : Try Risk Free
Users Most Likely To Recommend - Summer 2025
Grid Leader in Small-Business - Summer 2025
High Performer - Summer 2025
Regional Leader - Summer 2025
Easiest To Do Business With - Summer 2025
Best Meets Requirements- Summer 2025
Rate the form
4.5
Satisfied
21 Votes

For pdfFiller’s FAQs

Below is a list of the most common customer questions. If you can’t find an answer to your question, please don’t hesitate to reach out to us.

It's simple with pdfFiller, a full online document management tool. Access our huge online form collection (over 25M fillable forms are accessible) and find the zegee informed consent form in seconds. Open it immediately and begin modifying it with powerful editing options.
The editing procedure is simple with pdfFiller. Open your zegee informed consent form in the editor. You may also add photos, draw arrows and lines, insert sticky notes and text boxes, and more.
Using pdfFiller's mobile-native applications for iOS and Android is the simplest method to edit documents on a mobile device. You may get them from the Apple App Store and Google Play, respectively. More information on the apps may be found here. Install the program and log in to begin editing zegee informed consent form.
The zegee informed consent form is a document used to ensure that participants in a study or research are fully informed about the procedures, risks, and benefits associated with their participation, and that they agree to participate willingly.
Researchers and institutions conducting studies that involve human participants are required to file the zegee informed consent form to ensure compliance with ethical standards and regulations.
To fill out the zegee informed consent form, researchers should provide clear information about the study's purpose, procedures, potential risks, benefits, and confidentiality measures, and ensure that participants have the opportunity to ask questions before signing.
The purpose of the zegee informed consent form is to protect participants' rights by ensuring they are well-informed about the study and can make an educated decision about their participation.
The form must include details about the study's objectives, procedures, potential risks and benefits, confidentiality promises, the voluntary nature of participation, and contact information for further inquiries.
Fill out your zegee informed consent form online with pdfFiller!

pdfFiller is an end-to-end solution for managing, creating, and editing documents and forms in the cloud. Save time and hassle by preparing your tax forms online.

Get started now
Form preview
If you believe that this page should be taken down, please follow our DMCA take down process here .
This form may include fields for payment information. Data entered in these fields is not covered by PCI DSS compliance.