Form preview

Get the free REVISED 4/1/09

Get Form
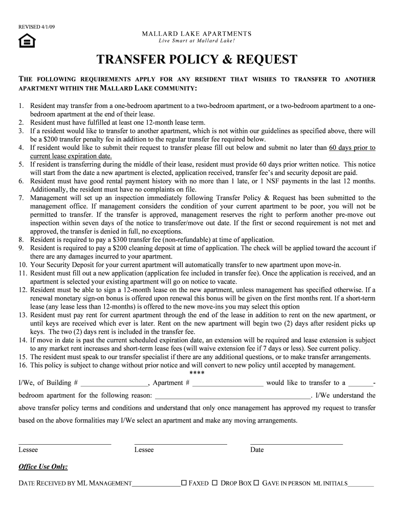
REVISED 4/1/09 M AL L AR D L AKE AP A RT M E NT S Live Smart at Mallard Lake! TRANSFER POLICY & REQUEST THE FOLLOWING REQUIREMENTS APPLY FOR ANY RESIDENT THAT WISHES TO TRANSFER TO ANOTHER APARTMENT
We are not affiliated with any brand or entity on this form

Get, Create, Make and Sign revised 4109

Edit
Edit your revised 4109 form online
Type text, complete fillable fields, insert images, highlight or blackout data for discretion, add comments, and more.
Add
Add your legally-binding signature
Draw or type your signature, upload a signature image, or capture it with your digital camera.
Share
Share your form instantly
Email, fax, or share your revised 4109 form via URL. You can also download, print, or export forms to your preferred cloud storage service.

Editing revised 4109 online

9.5
Ease of Setup
pdfFiller User Ratings on G2
9.0
Ease of Use
pdfFiller User Ratings on G2
Use the instructions below to start using our professional PDF editor:
1
Sign into your account. In case you're new, it's time to start your free trial.
2
Prepare a file. Use the Add New button to start a new project. Then, using your device, upload your file to the system by importing it from internal mail, the cloud, or adding its URL.
3
Edit revised 4109. Rearrange and rotate pages, add new and changed texts, add new objects, and use other useful tools. When you're done, click Done. You can use the Documents tab to merge, split, lock, or unlock your files.
4
Save your file. Select it from your records list. Then, click the right toolbar and select one of the various exporting options: save in numerous formats, download as PDF, email, or cloud.
With pdfFiller, it's always easy to deal with documents. Try it right now

Uncompromising security for your PDF editing and eSignature needs

Your private information is safe with pdfFiller. We employ end-to-end encryption, secure cloud storage, and advanced access control to protect your documents and maintain regulatory compliance.
GDPR
AICPA SOC 2
PCI
HIPAA
CCPA
FDA

How to fill out revised 4109

Illustration

How to fill out revised 4109:

01
Start by gathering all necessary information and documents. Make sure you have all the relevant details and paperwork required to complete the form accurately.
02
Carefully read the instructions provided with the revised 4109 form. This will give you a clear understanding of what information needs to be filled in each section and any specific guidelines to follow.
03
Begin filling out the form by providing your personal information in the designated fields. This may include your name, contact details, and any other relevant identification information.
04
Move on to the next sections of the form, which typically involve providing details about your employment or business. This may include your employer's name or business name, address, and relevant tax identification numbers.
05
Depending on the purpose of the form, there may be specific sections for reporting income, expenses, deductions, or any other financial information. Carefully enter this information accurately and double-check for any errors or omissions.
06
If there are any additional sections or attachments required, make sure to include them as instructed. This could involve providing supporting documents or supplementary information to complement your form.
07
Once you have completed filling out the revised 4109 form, review it thoroughly for any mistakes or missing information. Ensure all fields are filled out correctly and legibly.
08
Sign and date the form as required. This is typically done at the bottom or the end of the form. Make sure to print your name below your signature for identification purposes.

Who needs revised 4109?

01
Individuals who are required to report certain financial information to the relevant authorities or government agencies may need to fill out the revised 4109 form.
02
Businesses or self-employed individuals who need to provide detailed financial documentation for tax purposes or other regulatory requirements may also be required to complete this form.
03
It is essential to consult with the specific regulations or guidelines provided by the relevant authority to determine if the revised 4109 form is necessary in your particular situation.
Fill form : Try Risk Free
Users Most Likely To Recommend - Summer 2025
Grid Leader in Small-Business - Summer 2025
High Performer - Summer 2025
Regional Leader - Summer 2025
Easiest To Do Business With - Summer 2025
Best Meets Requirements- Summer 2025
Rate the form
4.5
Satisfied
52 Votes

For pdfFiller’s FAQs

Below is a list of the most common customer questions. If you can’t find an answer to your question, please don’t hesitate to reach out to us.

Revised 4109 is a form used to report changes or updates to previously filed information.
Individuals or entities who need to update information previously provided on a form 4109 are required to file the revised 4109.
Revised 4109 can be filled out by providing the updated information in the designated sections on the form.
The purpose of revised 4109 is to ensure that accurate and up-to-date information is on file.
The revised 4109 should include the updated information that needs to be corrected or changed.
With pdfFiller, you may not only alter the content but also rearrange the pages. Upload your revised 4109 and modify it with a few clicks. The editor lets you add photos, sticky notes, text boxes, and more to PDFs.
The best way to make changes to documents on a mobile device is to use pdfFiller's apps for iOS and Android. You may get them from the Apple Store and Google Play. Learn more about the apps here. To start editing revised 4109, you need to install and log in to the app.
No, you can't. With the pdfFiller app for iOS, you can edit, share, and sign revised 4109 right away. At the Apple Store, you can buy and install it in a matter of seconds. The app is free, but you will need to set up an account if you want to buy a subscription or start a free trial.
Fill out your revised 4109 online with pdfFiller!

pdfFiller is an end-to-end solution for managing, creating, and editing documents and forms in the cloud. Save time and hassle by preparing your tax forms online.

Get started now
Form preview
If you believe that this page should be taken down, please follow our DMCA take down process here .
This form may include fields for payment information. Data entered in these fields is not covered by PCI DSS compliance.