Get the free Contractor Responsibility Ordinance (CRO) Responsibility ... - fairfaxcounty
Show details
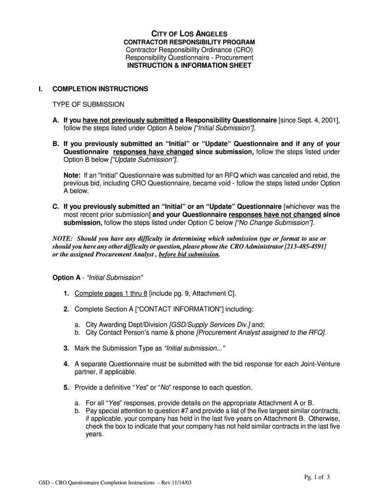
CITY OF LOS ANGELES CONTRACTOR RESPONSIBILITY PROGRAM Contractor Responsibility Ordinance (CRO) Responsibility Questionnaire Procurement INSTRUCTION & INFORMATION SHEET I. COMPLETION INSTRUCTIONS
We are not affiliated with any brand or entity on this form
Get, Create, Make and Sign contractor responsibility ordinance cro
Edit your contractor responsibility ordinance cro form online
Type text, complete fillable fields, insert images, highlight or blackout data for discretion, add comments, and more.
Add your legally-binding signature
Draw or type your signature, upload a signature image, or capture it with your digital camera.
Share your form instantly
Email, fax, or share your contractor responsibility ordinance cro form via URL. You can also download, print, or export forms to your preferred cloud storage service.
Editing contractor responsibility ordinance cro online
Use the instructions below to start using our professional PDF editor:
1
Check your account. It's time to start your free trial.
2
Prepare a file. Use the Add New button to start a new project. Then, using your device, upload your file to the system by importing it from internal mail, the cloud, or adding its URL.
3
Edit contractor responsibility ordinance cro. Rearrange and rotate pages, insert new and alter existing texts, add new objects, and take advantage of other helpful tools. Click Done to apply changes and return to your Dashboard. Go to the Documents tab to access merging, splitting, locking, or unlocking functions.
4
Save your file. Select it in the list of your records. Then, move the cursor to the right toolbar and choose one of the available exporting methods: save it in multiple formats, download it as a PDF, send it by email, or store it in the cloud.
It's easier to work with documents with pdfFiller than you can have believed. You may try it out for yourself by signing up for an account.
Uncompromising security for your PDF editing and eSignature needs
Your private information is safe with pdfFiller. We employ end-to-end encryption, secure cloud storage, and advanced access control to protect your documents and maintain regulatory compliance.
Fill
form
: Try Risk Free
For pdfFiller’s FAQs
Below is a list of the most common customer questions. If you can’t find an answer to your question, please don’t hesitate to reach out to us.
How can I modify contractor responsibility ordinance cro without leaving Google Drive?
Simplify your document workflows and create fillable forms right in Google Drive by integrating pdfFiller with Google Docs. The integration will allow you to create, modify, and eSign documents, including contractor responsibility ordinance cro, without leaving Google Drive. Add pdfFiller’s functionalities to Google Drive and manage your paperwork more efficiently on any internet-connected device.
How do I complete contractor responsibility ordinance cro online?
Easy online contractor responsibility ordinance cro completion using pdfFiller. Also, it allows you to legally eSign your form and change original PDF material. Create a free account and manage documents online.
Can I sign the contractor responsibility ordinance cro electronically in Chrome?
Yes. With pdfFiller for Chrome, you can eSign documents and utilize the PDF editor all in one spot. Create a legally enforceable eSignature by sketching, typing, or uploading a handwritten signature image. You may eSign your contractor responsibility ordinance cro in seconds.
What is contractor responsibility ordinance cro?
The Contractor Responsibility Ordinance (CRO) is a policy that requires contractors working on City-funded projects to meet certain criteria related to responsibility, performance, and compliance.
Who is required to file contractor responsibility ordinance cro?
Contractors working on City-funded projects are required to file the Contractor Responsibility Ordinance (CRO).
How to fill out contractor responsibility ordinance cro?
Contractors can fill out the Contractor Responsibility Ordinance (CRO) by providing the necessary information and documentation related to their responsibility, performance, and compliance.
What is the purpose of contractor responsibility ordinance cro?
The purpose of the Contractor Responsibility Ordinance (CRO) is to ensure that contractors working on City-funded projects meet certain criteria related to responsibility, performance, and compliance.
What information must be reported on contractor responsibility ordinance cro?
Contractors must report information related to their responsibility, performance, and compliance on the Contractor Responsibility Ordinance (CRO).
Fill out your contractor responsibility ordinance cro online with pdfFiller!
pdfFiller is an end-to-end solution for managing, creating, and editing documents and forms in the cloud. Save time and hassle by preparing your tax forms online.
Contractor Responsibility Ordinance Cro is not the form you're looking for?Search for another form here.
Relevant keywords
Related Forms
If you believe that this page should be taken down, please follow our DMCA take down process
here
.
This form may include fields for payment information. Data entered in these fields is not covered by PCI DSS compliance.