Get the free o The project involves one or more of
Show details
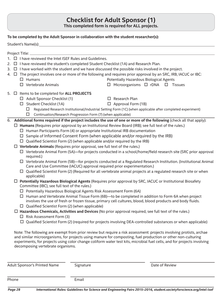
International Rules: Guidelines for Science and Engineering Fairs 2016 2017 student.societyforscience.org/intel-isef. Page 29. Checklist for Adult Sponsor (1).
We are not affiliated with any brand or entity on this form
Get, Create, Make and Sign o form project involves
Edit your o form project involves form online
Type text, complete fillable fields, insert images, highlight or blackout data for discretion, add comments, and more.
Add your legally-binding signature
Draw or type your signature, upload a signature image, or capture it with your digital camera.
Share your form instantly
Email, fax, or share your o form project involves form via URL. You can also download, print, or export forms to your preferred cloud storage service.
How to edit o form project involves online
Here are the steps you need to follow to get started with our professional PDF editor:
1
Log in. Click Start Free Trial and create a profile if necessary.
2
Upload a file. Select Add New on your Dashboard and upload a file from your device or import it from the cloud, online, or internal mail. Then click Edit.
3
Edit o form project involves. Replace text, adding objects, rearranging pages, and more. Then select the Documents tab to combine, divide, lock or unlock the file.
4
Save your file. Select it in the list of your records. Then, move the cursor to the right toolbar and choose one of the available exporting methods: save it in multiple formats, download it as a PDF, send it by email, or store it in the cloud.
With pdfFiller, dealing with documents is always straightforward.
Uncompromising security for your PDF editing and eSignature needs
Your private information is safe with pdfFiller. We employ end-to-end encryption, secure cloud storage, and advanced access control to protect your documents and maintain regulatory compliance.
Fill
form
: Try Risk Free
For pdfFiller’s FAQs
Below is a list of the most common customer questions. If you can’t find an answer to your question, please don’t hesitate to reach out to us.
How do I make changes in o form project involves?
With pdfFiller, you may not only alter the content but also rearrange the pages. Upload your o form project involves and modify it with a few clicks. The editor lets you add photos, sticky notes, text boxes, and more to PDFs.
Can I sign the o form project involves electronically in Chrome?
Yes. By adding the solution to your Chrome browser, you can use pdfFiller to eSign documents and enjoy all of the features of the PDF editor in one place. Use the extension to create a legally-binding eSignature by drawing it, typing it, or uploading a picture of your handwritten signature. Whatever you choose, you will be able to eSign your o form project involves in seconds.
How do I edit o form project involves on an iOS device?
Yes, you can. With the pdfFiller mobile app, you can instantly edit, share, and sign o form project involves on your iOS device. Get it at the Apple Store and install it in seconds. The application is free, but you will have to create an account to purchase a subscription or activate a free trial.
What is o form project involves?
The o form project involves collecting data and reporting on a specific project.
Who is required to file o form project involves?
Any individual or organization involved in the project may be required to file the o form.
How to fill out o form project involves?
The o form can be filled out online or submitted in person to the appropriate authority.
What is the purpose of o form project involves?
The purpose of the o form is to gather information and ensure compliance with regulations for the project.
What information must be reported on o form project involves?
The o form may require details about the project timeline, budget, stakeholders, and impact.
Fill out your o form project involves online with pdfFiller!
pdfFiller is an end-to-end solution for managing, creating, and editing documents and forms in the cloud. Save time and hassle by preparing your tax forms online.
O Form Project Involves is not the form you're looking for?Search for another form here.
Relevant keywords
Related Forms
If you believe that this page should be taken down, please follow our DMCA take down process
here
.
This form may include fields for payment information. Data entered in these fields is not covered by PCI DSS compliance.