Form preview

Get the free Resident Assistant Recommendation Form - newhaven

Get Form
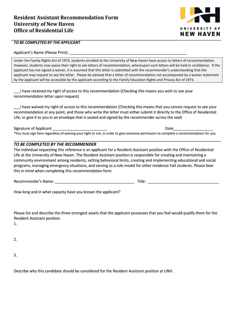
This document serves as a recommendation form for applicants seeking a Resident Assistant position at the University of New Haven, detailing the applicant's qualifications and the recommender's insights.
We are not affiliated with any brand or entity on this form

Get, Create, Make and Sign resident assistant recommendation form

Edit
Edit your resident assistant recommendation form form online
Type text, complete fillable fields, insert images, highlight or blackout data for discretion, add comments, and more.
Add
Add your legally-binding signature
Draw or type your signature, upload a signature image, or capture it with your digital camera.
Share
Share your form instantly
Email, fax, or share your resident assistant recommendation form form via URL. You can also download, print, or export forms to your preferred cloud storage service.

How to edit resident assistant recommendation form online

9.5
Ease of Setup
pdfFiller User Ratings on G2
9.0
Ease of Use
pdfFiller User Ratings on G2
Use the instructions below to start using our professional PDF editor:
1
Log in. Click Start Free Trial and create a profile if necessary.
2
Upload a file. Select Add New on your Dashboard and upload a file from your device or import it from the cloud, online, or internal mail. Then click Edit.
3
Edit resident assistant recommendation form. Rearrange and rotate pages, insert new and alter existing texts, add new objects, and take advantage of other helpful tools. Click Done to apply changes and return to your Dashboard. Go to the Documents tab to access merging, splitting, locking, or unlocking functions.
4
Save your file. Choose it from the list of records. Then, shift the pointer to the right toolbar and select one of the several exporting methods: save it in multiple formats, download it as a PDF, email it, or save it to the cloud.
With pdfFiller, dealing with documents is always straightforward. Now is the time to try it!

Uncompromising security for your PDF editing and eSignature needs

Your private information is safe with pdfFiller. We employ end-to-end encryption, secure cloud storage, and advanced access control to protect your documents and maintain regulatory compliance.
GDPR
AICPA SOC 2
PCI
HIPAA
CCPA
FDA

How to fill out resident assistant recommendation form

Illustration

How to fill out Resident Assistant Recommendation Form

01
Read the instructions on the form carefully.
02
Provide your personal information, including your name, address, and contact details.
03
Fill out the candidate's information accurately, including their full name and the position they are applying for.
04
Answer the specific questions about the candidate's qualifications and character honestly.
05
Provide examples or anecdotes that support your evaluation of the candidate.
06
Sign and date the form to validate your recommendation.
07
Submit the completed form according to the provided submission guidelines.

Who needs Resident Assistant Recommendation Form?

01
Students applying for a Resident Assistant position in a college or university residence hall.
02
Faculty or staff members who are required to provide a recommendation as part of the application process.
03
Individuals who are familiar with the applicant's leadership skills and community involvement.
Fill form : Try Risk Free
Users Most Likely To Recommend - Summer 2025
Grid Leader in Small-Business - Summer 2025
High Performer - Summer 2025
Regional Leader - Summer 2025
Easiest To Do Business With - Summer 2025
Best Meets Requirements- Summer 2025
Rate the form
4.7
Satisfied
30 Votes

For pdfFiller’s FAQs

Below is a list of the most common customer questions. If you can’t find an answer to your question, please don’t hesitate to reach out to us.

The Resident Assistant Recommendation Form is a document used to evaluate and recommend candidates for the position of Resident Assistant in a residential community.
Typically, current or past supervisors, professors, or individuals familiar with the candidate's qualifications and character are required to file the Resident Assistant Recommendation Form.
To fill out the Resident Assistant Recommendation Form, you need to provide your contact information, details about your relationship with the candidate, and a written evaluation of the candidate’s skills, abilities, and suitability for the Resident Assistant position.
The purpose of the Resident Assistant Recommendation Form is to gather insights and assessments from people who can speak to the candidate's qualifications and potential effectiveness as a Resident Assistant.
The form typically requires information such as the recommender's name and contact details, the candidate's name, the nature of the relationship, and an assessment of the candidate's leadership skills, teamwork, communication skills, and ability to manage conflicts.
Fill out your resident assistant recommendation form online with pdfFiller!

pdfFiller is an end-to-end solution for managing, creating, and editing documents and forms in the cloud. Save time and hassle by preparing your tax forms online.

Get started now
Form preview
If you believe that this page should be taken down, please follow our DMCA take down process here .
This form may include fields for payment information. Data entered in these fields is not covered by PCI DSS compliance.