Get the free Celebration of Life Service
Show details
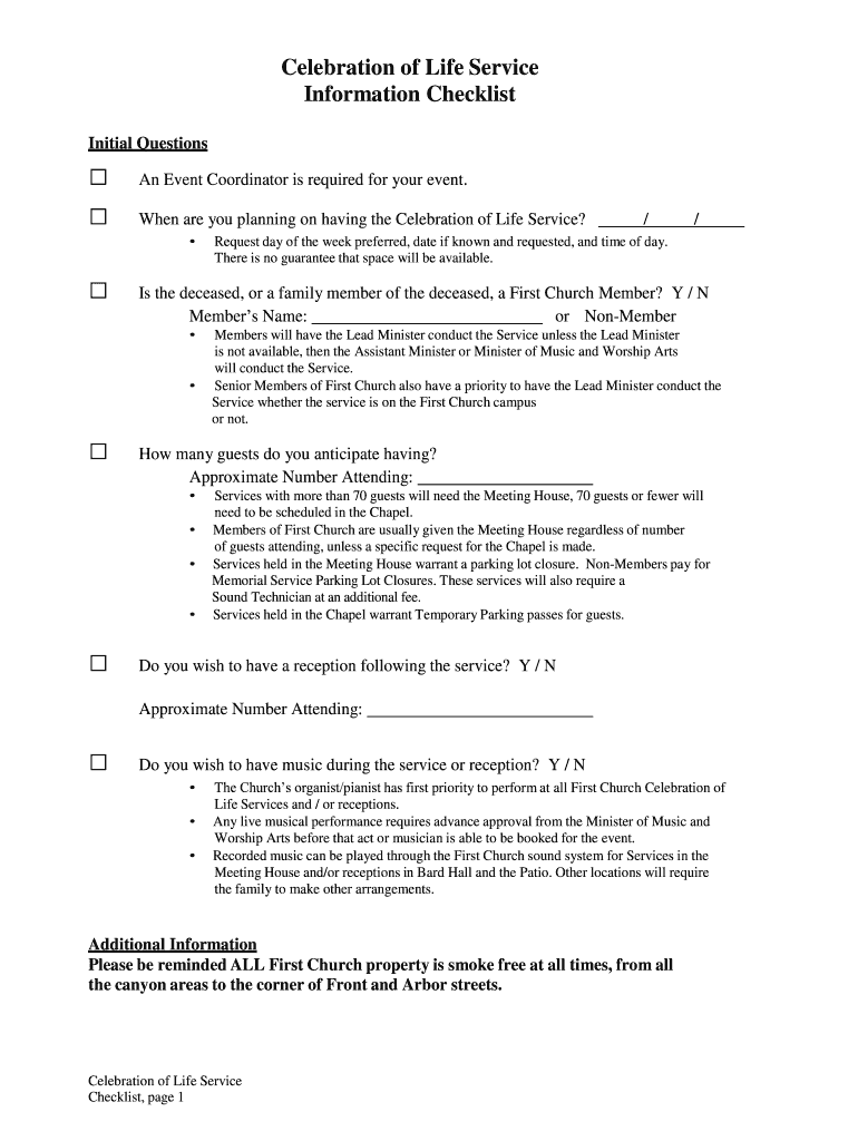
Celebration of Life Service
Information Checklist
Initial Questions
An Event Coordinator is required for your event.
When are you planning on having the Celebration of Life Service?
Request day of
We are not affiliated with any brand or entity on this form
Get, Create, Make and Sign celebration of life service
Edit your celebration of life service form online
Type text, complete fillable fields, insert images, highlight or blackout data for discretion, add comments, and more.
Add your legally-binding signature
Draw or type your signature, upload a signature image, or capture it with your digital camera.
Share your form instantly
Email, fax, or share your celebration of life service form via URL. You can also download, print, or export forms to your preferred cloud storage service.
Editing celebration of life service online
To use the professional PDF editor, follow these steps below:
1
Create an account. Begin by choosing Start Free Trial and, if you are a new user, establish a profile.
2
Prepare a file. Use the Add New button. Then upload your file to the system from your device, importing it from internal mail, the cloud, or by adding its URL.
3
Edit celebration of life service. Rearrange and rotate pages, add new and changed texts, add new objects, and use other useful tools. When you're done, click Done. You can use the Documents tab to merge, split, lock, or unlock your files.
4
Get your file. Select the name of your file in the docs list and choose your preferred exporting method. You can download it as a PDF, save it in another format, send it by email, or transfer it to the cloud.
pdfFiller makes dealing with documents a breeze. Create an account to find out!
Uncompromising security for your PDF editing and eSignature needs
Your private information is safe with pdfFiller. We employ end-to-end encryption, secure cloud storage, and advanced access control to protect your documents and maintain regulatory compliance.
How to fill out celebration of life service
How to fill out celebration of life service:
01
Start by selecting a date and location for the celebration of life service. Consider a venue that has enough space to accommodate all the guests and that holds significance to the person being honored.
02
Create a guest list and send out invitations or announcements to friends, family members, and other loved ones. Include important details such as the date, time, and location of the celebration. You may also want to mention any special requests or instructions for attendees.
03
Plan the program for the celebration of life service. This may involve choosing readings, selecting music, and deciding on any speeches or presentations. Consider incorporating elements that reflect the life and personality of the person being celebrated, such as their favorite quotes, songs, or hobbies.
04
Design and print any necessary materials for the service, such as programs, tribute boards, or photo collages. These can serve as keepsakes for attendees and provide a visual representation of the person's life and achievements.
05
Arrange for any special items or decorations that you want to include in the celebration. This could include photographs, personal belongings, or memorabilia that hold sentimental value. Display these items in a way that is meaningful and respectful.
06
Coordinate with any speakers or performers who will contribute to the celebration of life service. Provide them with the necessary information and guidelines, and ensure that they have a clear understanding of their role in the event.
07
Prepare a eulogy or tribute speech to honor the person's life and share memorable stories or anecdotes. Consider asking other family members or close friends to contribute their own reflections as well. This can create a more diverse and comprehensive representation of the person's impact and legacy.
08
Consider incorporating symbolic gestures or rituals into the celebration of life service. This could include lighting candles, releasing balloons or doves, or planting a tree in memory of the person. These gestures can provide a sense of closure and allow attendees to actively participate in the ceremony.
Who needs celebration of life service?
A celebration of life service can be beneficial for anyone who wants to honor the life and memory of a loved one in a unique and personalized way. This type of service is particularly suitable for individuals who may not have been religious or who did not wish to have a traditional funeral. It allows for a more flexible and creative approach to commemorating a person's life, focusing on their achievements, passions, and impact on others. Celebration of life services can be held for individuals of any age, and can be tailored to reflect their personality, interests, and values.
Fill
form
: Try Risk Free
For pdfFiller’s FAQs
Below is a list of the most common customer questions. If you can’t find an answer to your question, please don’t hesitate to reach out to us.
How can I get celebration of life service?
With pdfFiller, an all-in-one online tool for professional document management, it's easy to fill out documents. Over 25 million fillable forms are available on our website, and you can find the celebration of life service in a matter of seconds. Open it right away and start making it your own with help from advanced editing tools.
How do I complete celebration of life service online?
pdfFiller has made filling out and eSigning celebration of life service easy. The solution is equipped with a set of features that enable you to edit and rearrange PDF content, add fillable fields, and eSign the document. Start a free trial to explore all the capabilities of pdfFiller, the ultimate document editing solution.
How do I complete celebration of life service on an Android device?
On an Android device, use the pdfFiller mobile app to finish your celebration of life service. The program allows you to execute all necessary document management operations, such as adding, editing, and removing text, signing, annotating, and more. You only need a smartphone and an internet connection.
What is celebration of life service?
Celebration of life service is a memorial or funeral service that focuses on honoring and remembering the life of the deceased in a positive and uplifting way.
Who is required to file celebration of life service?
The funeral home or designated individual responsible for organizing the memorial service is typically required to file the celebration of life service.
How to fill out celebration of life service?
To fill out a celebration of life service, you would typically need to provide information about the deceased, details of the service, and any other relevant information required by the funeral home or organizer.
What is the purpose of celebration of life service?
The purpose of a celebration of life service is to honor and remember the life of the deceased in a positive and meaningful way, often focusing on their achievements, personality, and impact on others.
What information must be reported on celebration of life service?
Information that may be reported on a celebration of life service includes the name of the deceased, date and location of the service, details about the program or activities, and any special requests or preferences.
Fill out your celebration of life service online with pdfFiller!
pdfFiller is an end-to-end solution for managing, creating, and editing documents and forms in the cloud. Save time and hassle by preparing your tax forms online.
Celebration Of Life Service is not the form you're looking for?Search for another form here.
Relevant keywords
Related Forms
If you believe that this page should be taken down, please follow our DMCA take down process
here
.
This form may include fields for payment information. Data entered in these fields is not covered by PCI DSS compliance.