Get the free COURSE CHOICE FORM for 7 and 8 - Calvary Chapel...
Show details
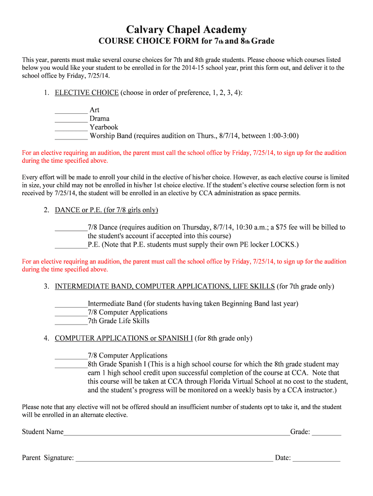
COURSE CHOICE FORM for 7th and 8th Grade This year, ... Microsoft Word — 7th-8th Grade Course Choice Form...
We are not affiliated with any brand or entity on this form
Get, Create, Make and Sign course choice form for
Edit your course choice form for form online
Type text, complete fillable fields, insert images, highlight or blackout data for discretion, add comments, and more.
Add your legally-binding signature
Draw or type your signature, upload a signature image, or capture it with your digital camera.
Share your form instantly
Email, fax, or share your course choice form for form via URL. You can also download, print, or export forms to your preferred cloud storage service.
Editing course choice form for online
To use the professional PDF editor, follow these steps:
1
Sign into your account. If you don't have a profile yet, click Start Free Trial and sign up for one.
2
Prepare a file. Use the Add New button to start a new project. Then, using your device, upload your file to the system by importing it from internal mail, the cloud, or adding its URL.
3
Edit course choice form for. Add and change text, add new objects, move pages, add watermarks and page numbers, and more. Then click Done when you're done editing and go to the Documents tab to merge or split the file. If you want to lock or unlock the file, click the lock or unlock button.
4
Save your file. Select it in the list of your records. Then, move the cursor to the right toolbar and choose one of the available exporting methods: save it in multiple formats, download it as a PDF, send it by email, or store it in the cloud.
Uncompromising security for your PDF editing and eSignature needs
Your private information is safe with pdfFiller. We employ end-to-end encryption, secure cloud storage, and advanced access control to protect your documents and maintain regulatory compliance.
How to fill out course choice form for
How to fill out a course choice form:
01
Begin by reviewing the available courses: Take the time to carefully read through the course catalog or online course offerings. Familiarize yourself with the course descriptions, prerequisites, and any other relevant information.
02
Consider your academic goals: Determine what subjects or areas of study align with your academic interests and future career aspirations. Think about whether you need to fulfill any specific requirements or prerequisites for your chosen major or program.
03
Prioritize your preferences: With the course options in mind, make a list of your preferred courses in order of importance or interest. This will help you when it comes time to select your courses on the form.
04
Check for scheduling conflicts: Cross-check the course schedule with your personal schedule to ensure there are no time conflicts. Consider any other obligations you may have, such as work or extracurricular activities, that might affect your availability.
05
Seek advice if needed: If you are unsure about which courses to choose or have questions about specific requirements, reach out to academic advisors, professors, or classmates for guidance. They can provide valuable insight and advice based on their expertise or personal experiences.
06
Complete the form accurately: Fill out the course choice form accurately and neatly. Double-check that you have included all the necessary information, such as course codes, titles, and sections.
07
Submit the form on time: Be aware of any deadlines set by your academic institution and make sure to submit your completed form before the specified date. Late submissions may result in limited course availability or additional administrative fees.
Who needs a course choice form?
01
Students planning their course schedule: Course choice forms are primarily needed by students who are creating or modifying their course schedule for an upcoming academic term. This applies to high school students selecting their courses for the following semester or college/university students registering for their next semester or quarter.
02
Individuals pursuing higher education: Anyone pursuing higher education, whether it is in a traditional college or university setting or through online courses, may need to fill out a course choice form. This allows them to select the courses that align with their educational goals and program requirements.
03
Professionals seeking professional development or continuing education: In some cases, professionals seeking to advance their careers or acquire new skills may need to complete a course choice form for professional development courses or continuing education programs. This form serves as a way to indicate which courses are of interest and relevance to their professional growth.
Fill
form
: Try Risk Free
For pdfFiller’s FAQs
Below is a list of the most common customer questions. If you can’t find an answer to your question, please don’t hesitate to reach out to us.
How do I make changes in course choice form for?
The editing procedure is simple with pdfFiller. Open your course choice form for in the editor. You may also add photos, draw arrows and lines, insert sticky notes and text boxes, and more.
How do I fill out the course choice form for form on my smartphone?
Use the pdfFiller mobile app to fill out and sign course choice form for on your phone or tablet. Visit our website to learn more about our mobile apps, how they work, and how to get started.
How do I complete course choice form for on an iOS device?
pdfFiller has an iOS app that lets you fill out documents on your phone. A subscription to the service means you can make an account or log in to one you already have. As soon as the registration process is done, upload your course choice form for. You can now use pdfFiller's more advanced features, like adding fillable fields and eSigning documents, as well as accessing them from any device, no matter where you are in the world.
What is course choice form for?
The course choice form is used to select the courses a student wishes to enroll in.
Who is required to file course choice form for?
All students who are registering for courses are required to file a course choice form.
How to fill out course choice form for?
To fill out the course choice form, students must list the courses they wish to take and indicate any preferences or requirements.
What is the purpose of course choice form for?
The purpose of the course choice form is to help students plan their academic schedule and ensure they are enrolled in the correct courses.
What information must be reported on course choice form for?
Students must report the course codes, names, and any additional information requested by the institution on the course choice form.
Fill out your course choice form for online with pdfFiller!
pdfFiller is an end-to-end solution for managing, creating, and editing documents and forms in the cloud. Save time and hassle by preparing your tax forms online.
Course Choice Form For is not the form you're looking for?Search for another form here.
Relevant keywords
Related Forms
If you believe that this page should be taken down, please follow our DMCA take down process
here
.
This form may include fields for payment information. Data entered in these fields is not covered by PCI DSS compliance.